mp-985831/HfSe2/anharm

Harmonic properties

../../_images/fig_bandos_pr1118.png

(a) Phonon dispersion with participation ratio and DOS

../../_images/fig_thermo1118.png

(b) Thermodynamic properties

Grüneisen parameters

../../_images/fig_gru_all682.png

(a) Grüneisen parameters

../../_images/fig_gruneisen682.png

(b) Phonon dispersion with Grüneisen parameters

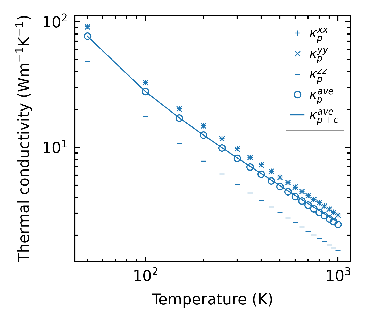
Thermal conductivity

3-phonon (LASSO) — q-mesh: 20x20x12, supercell: 4x4x3

../../_images/fig_kappa1331.png

(a) Temperature-dependent lattice thermal conductivity

../../_images/fig_kappa_vs_grain_size691.png

(b) Peierls lattice thermal conductivity w.r.t grain size

Phonon lifetime and scattering rates

../../_images/fig_lifetime680.png

(a) Phonon lifetime due to phonon-phonon scattering

../../_images/fig_scat_rates679.png

(b) Phonon scattering rates

Cumulative and spectral thermal conductivity

../../_images/fig_cumu_frequency680.png

(a) Spectral and cumulative thermal conductivity w.r.t frequency

../../_images/fig_cumu_mfp680.png

(b) Spectral and cumulative thermal conductivity w.r.t MFP

Force constants

../../_images/fig_fc2984.png

(a) Force constants w.r.t atomic distance

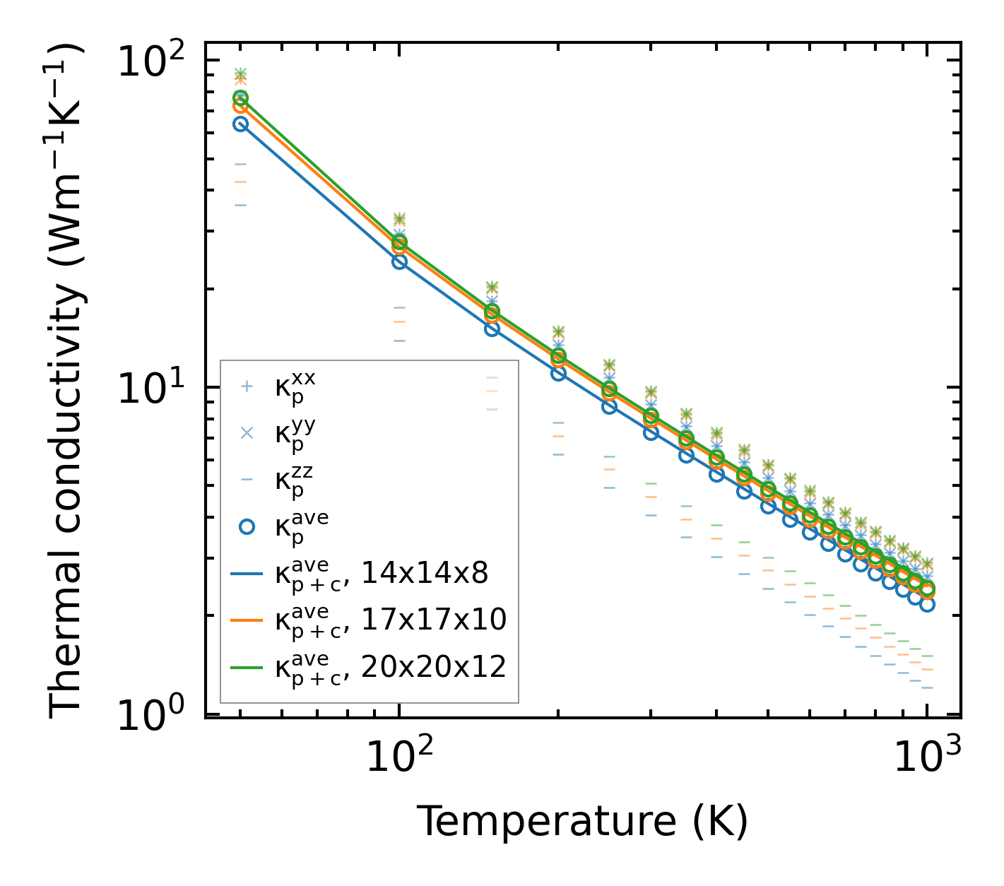
Summary

../../_images/fig_kappa1332.png

(a) Temperature-dependent lattice thermal conductivity

../../_images/fig_times1679.png

(b) Computation time