mp-985590-2/SiO2/anharm

Equation of state

../../_images/fig_bm366.png

(a) Equation of state

Harmonic properties

../../_images/fig_bandos_pr1107.png

(a) Phonon dispersion with participation ratio and DOS

../../_images/fig_bandos1039.png

(b) Phonon dispersion and DOS

../../_images/fig_thermo1107.png

(c) Thermodynamic properties

Grüneisen parameters

../../_images/fig_gru_all679.png

(a) Grüneisen parameters

../../_images/fig_gruneisen679.png

(b) Phonon dispersion with Grüneisen parameters

Thermal conductivity

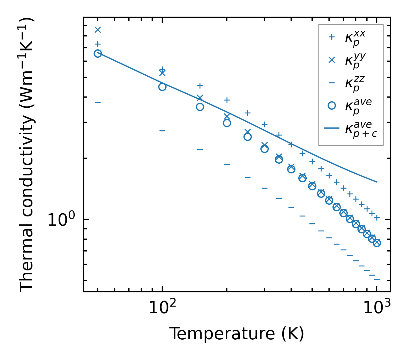
3-phonon (LASSO) — q-mesh: 14x8x8, supercell: 2x1x2

../../_images/fig_kappa1324.png

(a) Temperature-dependent lattice thermal conductivity

../../_images/fig_kappa_vs_grain_size687.png

(b) Peierls lattice thermal conductivity w.r.t grain size

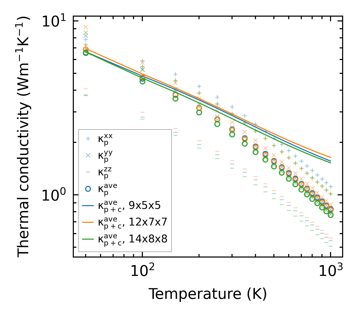
3-phonon (LASSO), supercell 2x2x2 — q-mesh: 14x8x8, supercell: 2x2x2

../../_images/fig_kappa1325.png

(a) Temperature-dependent lattice thermal conductivity

../../_images/fig_kappa_vs_grain_size688.png

(b) Peierls lattice thermal conductivity w.r.t grain size

Phonon lifetime and scattering rates

../../_images/fig_lifetime677.png

(a) Phonon lifetime due to phonon-phonon scattering

../../_images/fig_scat_rates676.png

(b) Phonon scattering rates

Cumulative and spectral thermal conductivity

../../_images/fig_cumu_frequency677.png

(a) Spectral and cumulative thermal conductivity w.r.t frequency

../../_images/fig_cumu_mfp677.png

(b) Spectral and cumulative thermal conductivity w.r.t MFP

Force constants

../../_images/fig_fc2973.png

(a) Force constants w.r.t atomic distance

Summary

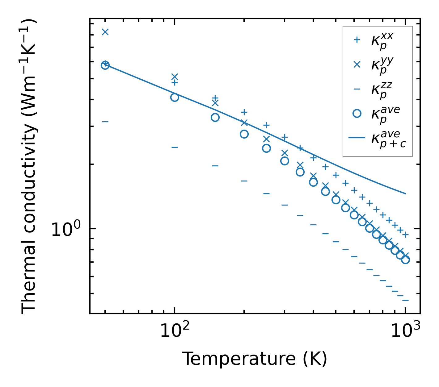
../../_images/fig_kappa1326.png

(a) Temperature-dependent lattice thermal conductivity

../../_images/fig_times1665.png

(b) Computation time