mp-985593/NaAgC2O4/harm

Harmonic properties

../../_images/fig_bandos_pr1112.png

(a) Phonon dispersion with participation ratio and DOS

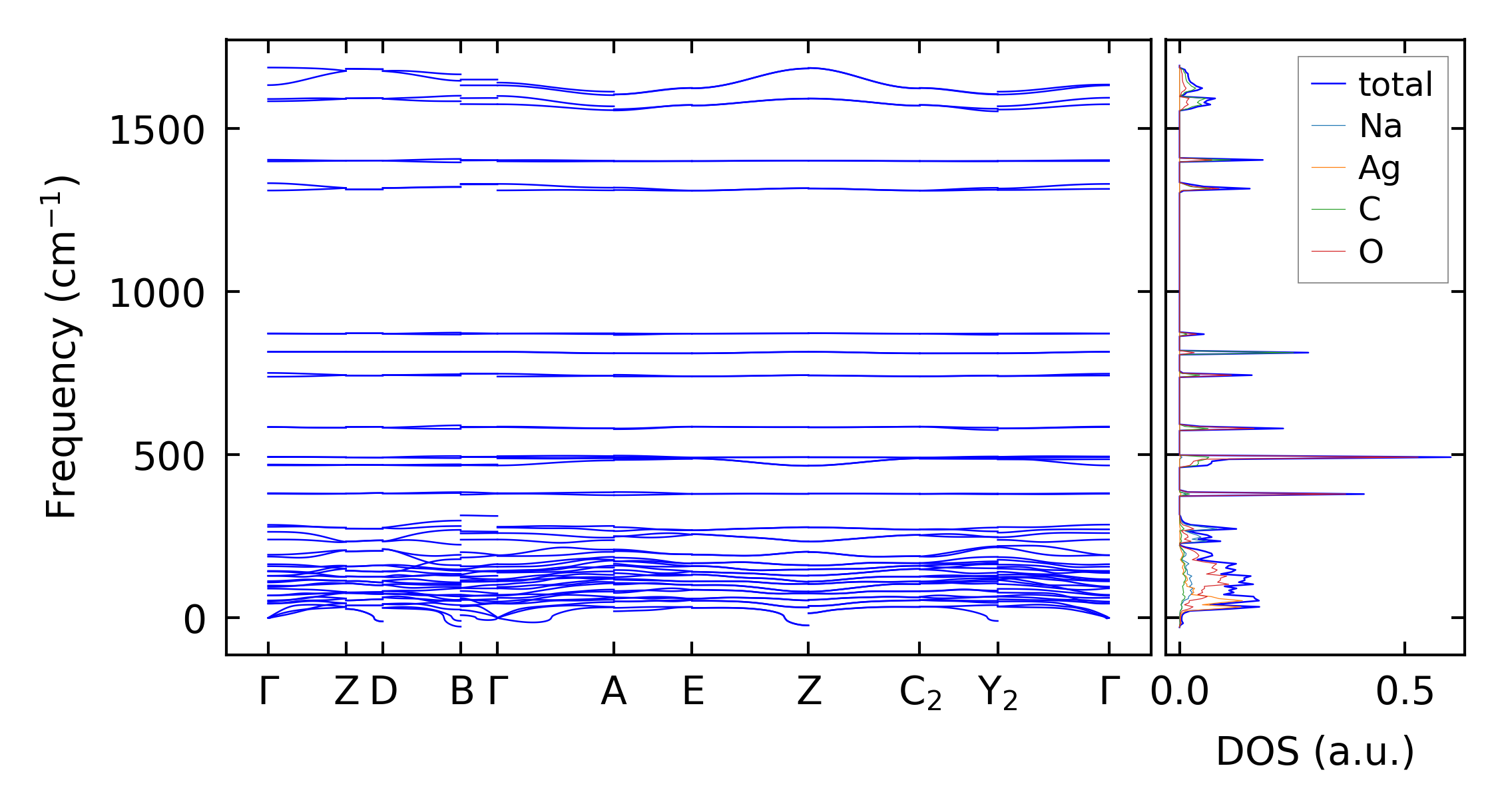
../../_images/fig_bandos1044.png

(b) Phonon dispersion and DOS

../../_images/fig_thermo1112.png

(c) Thermodynamic properties

Force constants

../../_images/fig_fc2978.png

(a) Force constants w.r.t atomic distance

Summary

../../_images/fig_times1670.png

(a) Computation time