mp-985586/Na3BrO/anharm

Harmonic properties

../../_images/fig_bandos_pr1106.png

(a) Phonon dispersion with participation ratio and DOS

../../_images/fig_thermo1106.png

(b) Thermodynamic properties

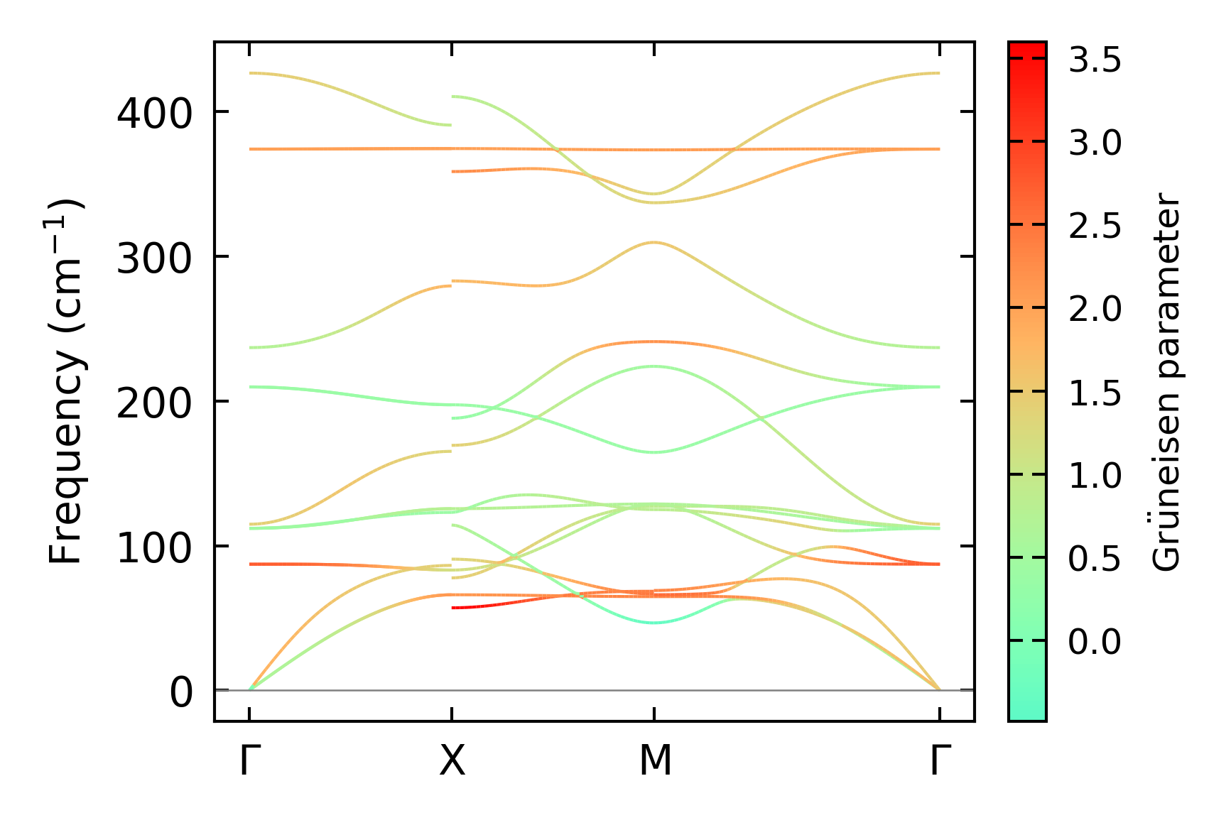
Grüneisen parameters

../../_images/fig_gru_all678.png

(a) Grüneisen parameters

../../_images/fig_gruneisen678.png

(b) Phonon dispersion with Grüneisen parameters

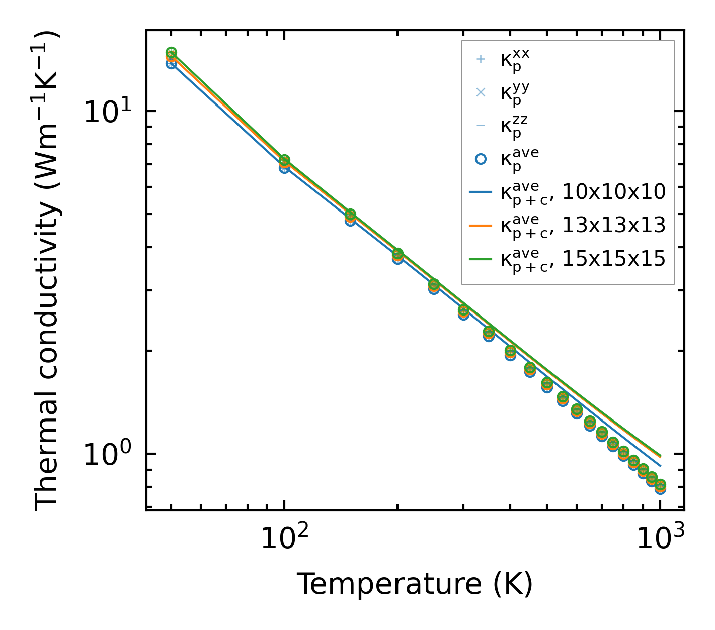
Thermal conductivity

3-phonon — q-mesh: 15x15x15, supercell: 3x3x3

../../_images/fig_kappa1322.png

(a) Temperature-dependent lattice thermal conductivity

../../_images/fig_kappa_vs_grain_size686.png

(b) Peierls lattice thermal conductivity w.r.t grain size

Phonon lifetime and scattering rates

../../_images/fig_lifetime676.png

(a) Phonon lifetime due to phonon-phonon scattering

../../_images/fig_scat_rates675.png

(b) Phonon scattering rates

Cumulative and spectral thermal conductivity

../../_images/fig_cumu_frequency676.png

(a) Spectral and cumulative thermal conductivity w.r.t frequency

../../_images/fig_cumu_mfp676.png

(b) Spectral and cumulative thermal conductivity w.r.t MFP

Force constants

../../_images/fig_fc3133.png

(a) Force constants w.r.t atomic distance

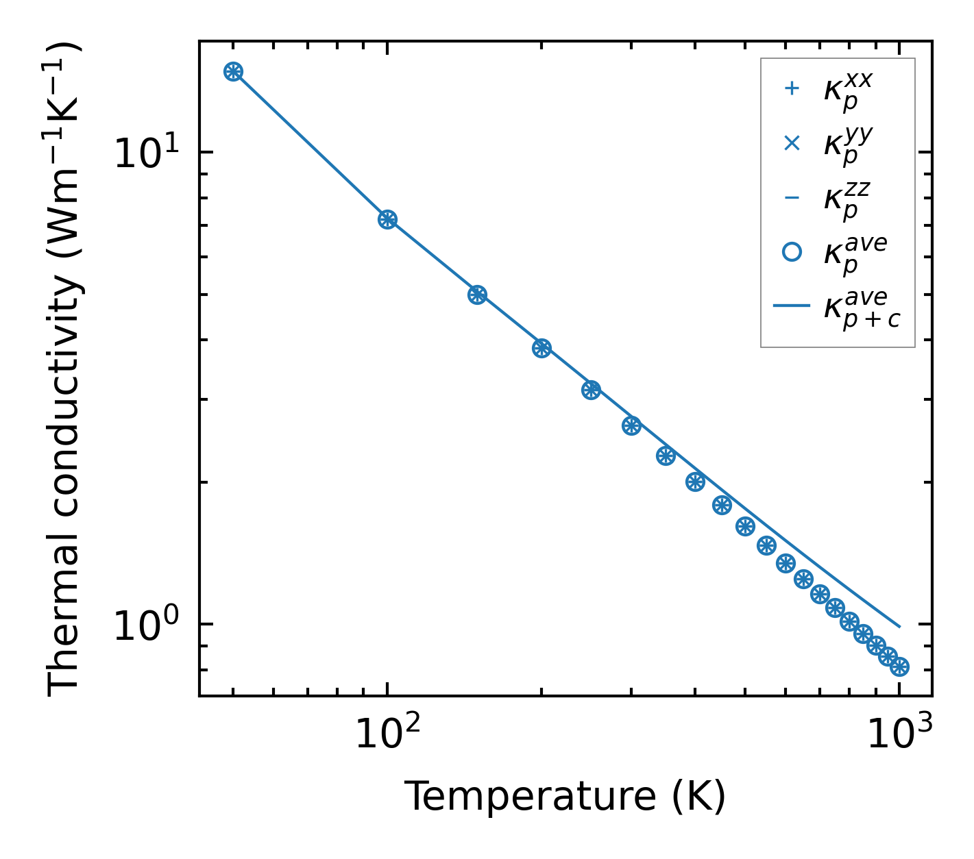
Summary

../../_images/fig_kappa1323.png

(a) Temperature-dependent lattice thermal conductivity

../../_images/fig_times1662.png

(b) Computation time