mp-985591-2/Li6PS5Br/harm

Equation of state

../../_images/fig_bm367.png

(a) Equation of state

Harmonic properties

../../_images/fig_bandos_pr1109.png

(a) Phonon dispersion with participation ratio and DOS

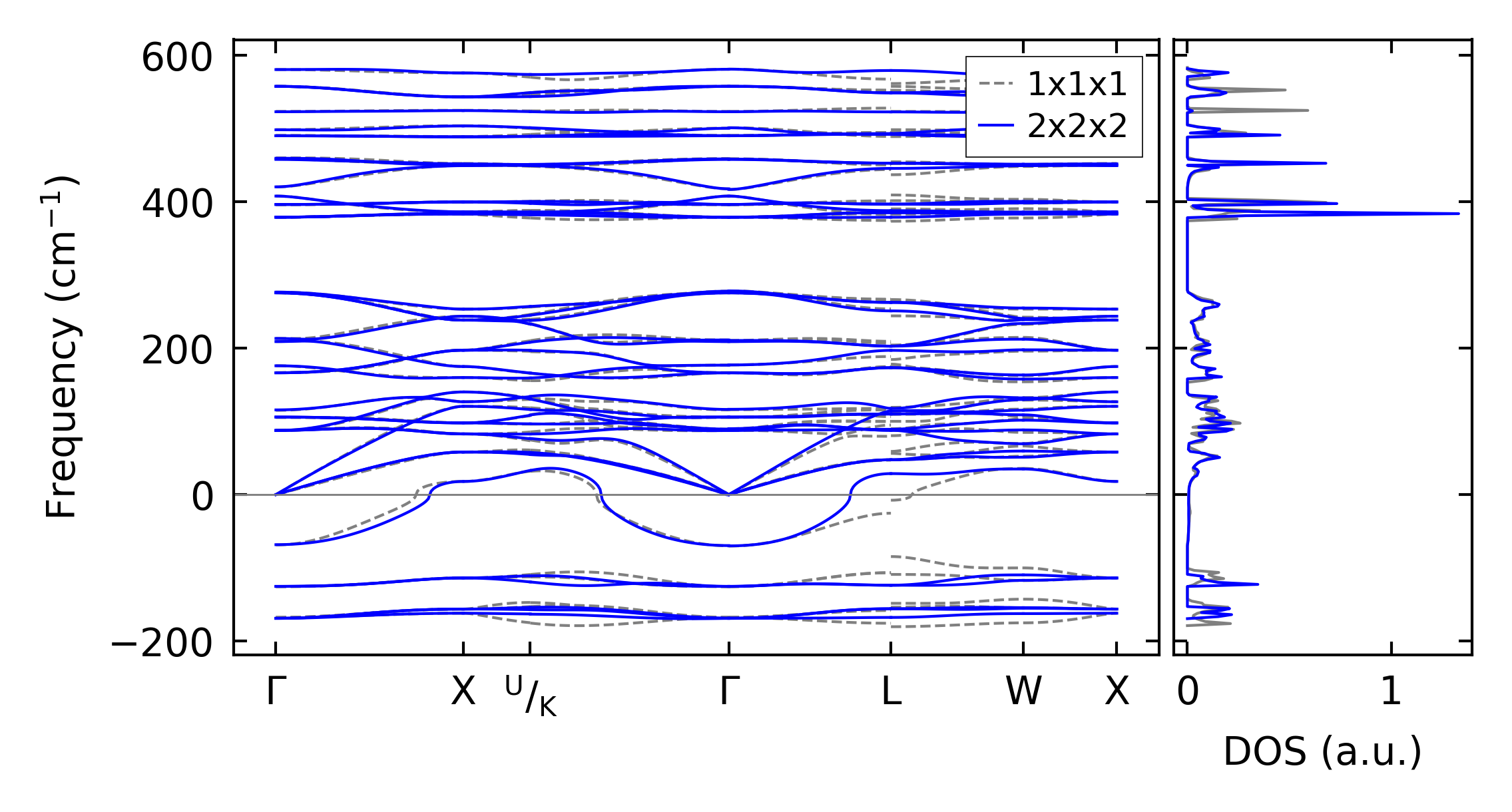
../../_images/fig_bandos1041.png

(b) Phonon dispersion and DOS

../../_images/fig_thermo1109.png

(c) Thermodynamic properties

Force constants

../../_images/fig_fc2975.png

(a) Force constants w.r.t atomic distance

Summary

../../_images/fig_times1667.png

(a) Computation time