mp-985697/Ba3Si6N2O12/anharm

Harmonic properties

../../_images/fig_bandos_pr1116.png

(a) Phonon dispersion with participation ratio and DOS

../../_images/fig_thermo1116.png

(b) Thermodynamic properties

Grüneisen parameters

../../_images/fig_gru_all680.png

(a) Grüneisen parameters

../../_images/fig_gruneisen680.png

(b) Phonon dispersion with Grüneisen parameters

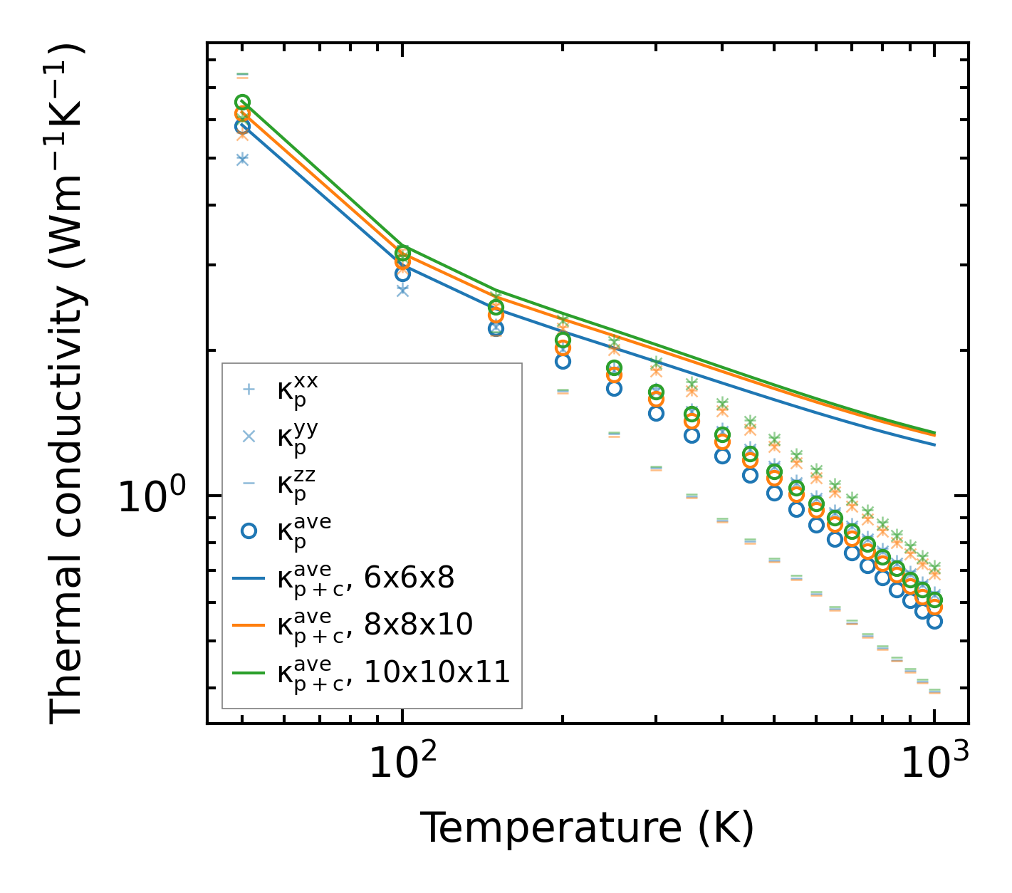
Thermal conductivity

3-phonon (LASSO) — q-mesh: 10x10x11, supercell: 1x1x2

../../_images/fig_kappa1327.png

(a) Temperature-dependent lattice thermal conductivity

../../_images/fig_kappa_vs_grain_size689.png

(b) Peierls lattice thermal conductivity w.r.t grain size

Phonon lifetime and scattering rates

../../_images/fig_lifetime678.png

(a) Phonon lifetime due to phonon-phonon scattering

../../_images/fig_scat_rates677.png

(b) Phonon scattering rates

Cumulative and spectral thermal conductivity

../../_images/fig_cumu_frequency678.png

(a) Spectral and cumulative thermal conductivity w.r.t frequency

../../_images/fig_cumu_mfp678.png

(b) Spectral and cumulative thermal conductivity w.r.t MFP

Force constants

../../_images/fig_fc2982.png

(a) Force constants w.r.t atomic distance

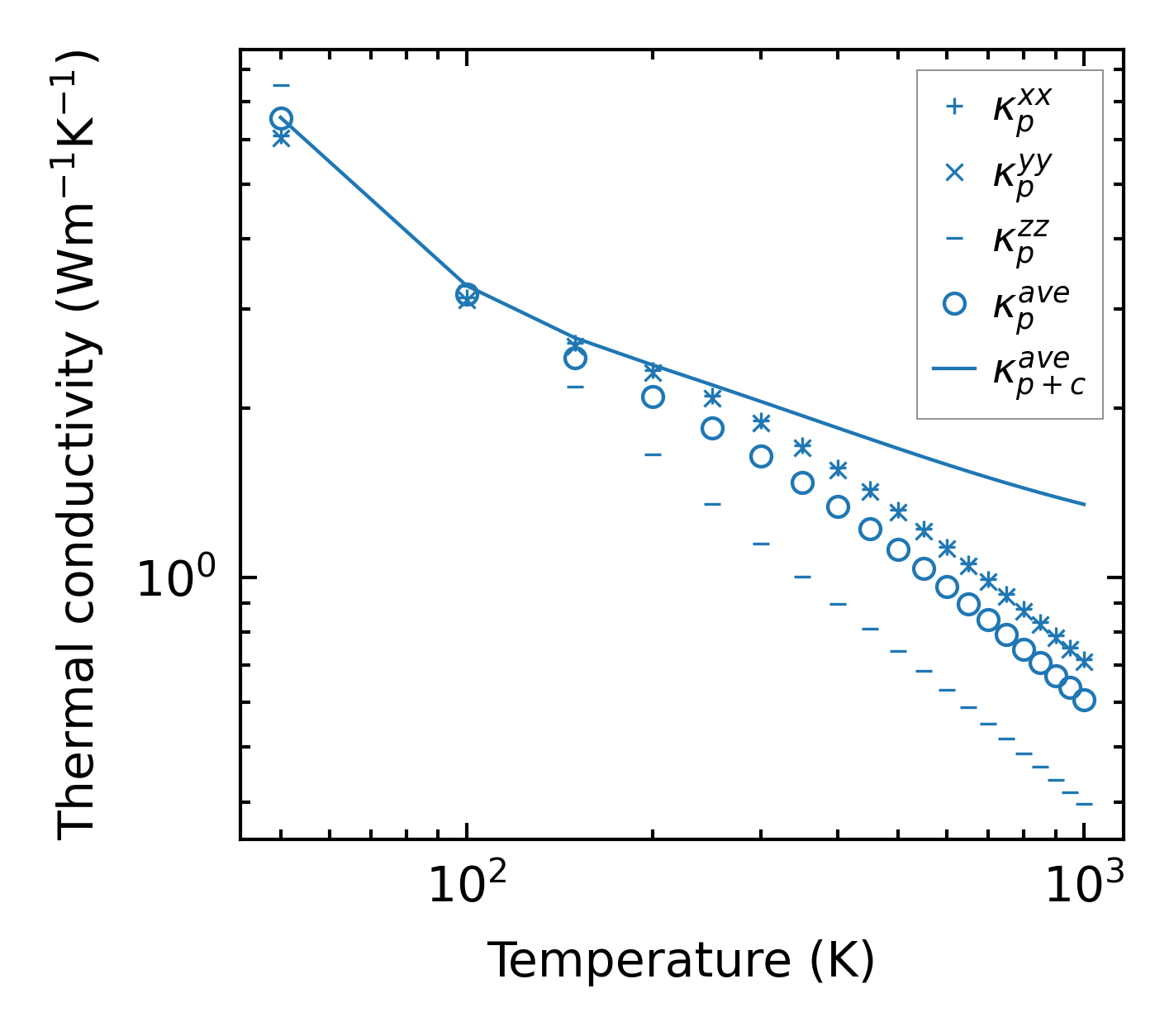
Summary

../../_images/fig_kappa1328.png

(a) Temperature-dependent lattice thermal conductivity

../../_images/fig_times1675.png

(b) Computation time