mp-780869-2/Tm2WO6/anharm

Equation of state

../../_images/fig_bm841.png

(a) Equation of state

Harmonic properties

../../_images/fig_bandos_pr2002.png

(a) Phonon dispersion with participation ratio and DOS

../../_images/fig_bandos2042.png

(b) Phonon dispersion and DOS

../../_images/fig_thermo2002.png

(c) Thermodynamic properties

Grüneisen parameters

../../_images/fig_gru_all1145.png

(a) Grüneisen parameters

../../_images/fig_gruneisen1145.png

(b) Phonon dispersion with Grüneisen parameters

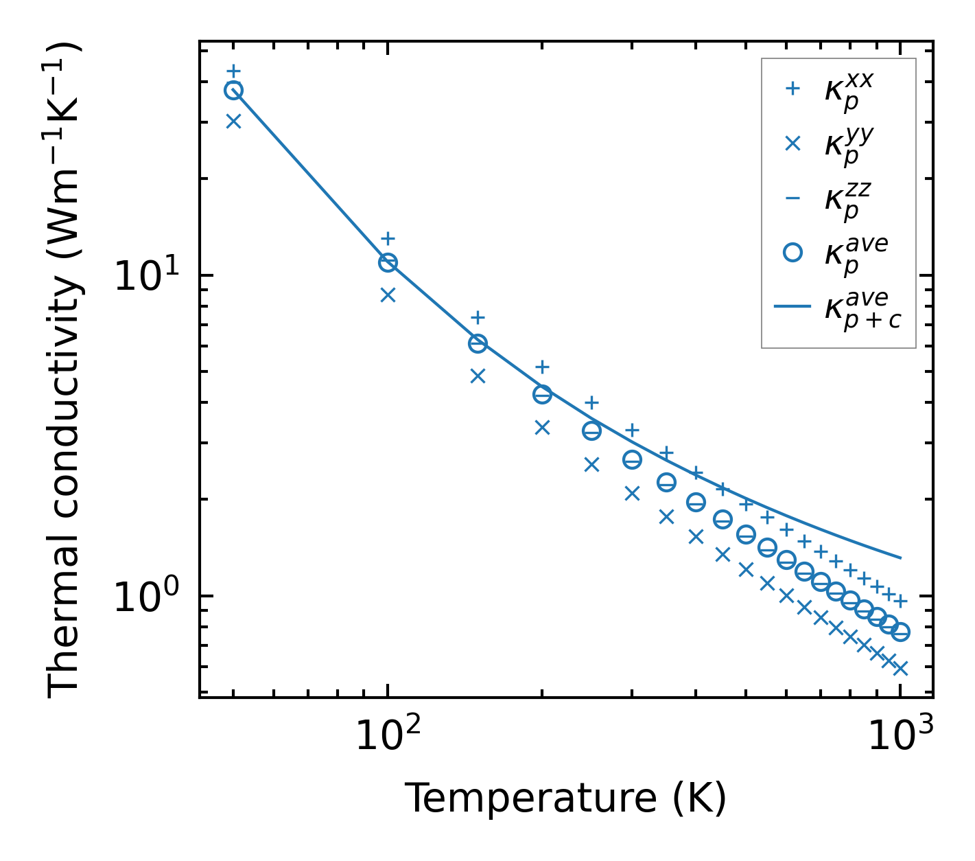
Thermal conductivity

3-phonon (LASSO) — q-mesh: 13x4x6, supercell: 2x1x1

../../_images/fig_kappa2204.png

(a) Temperature-dependent lattice thermal conductivity

../../_images/fig_kappa_vs_grain_size1158.png

(b) Peierls lattice thermal conductivity w.r.t grain size

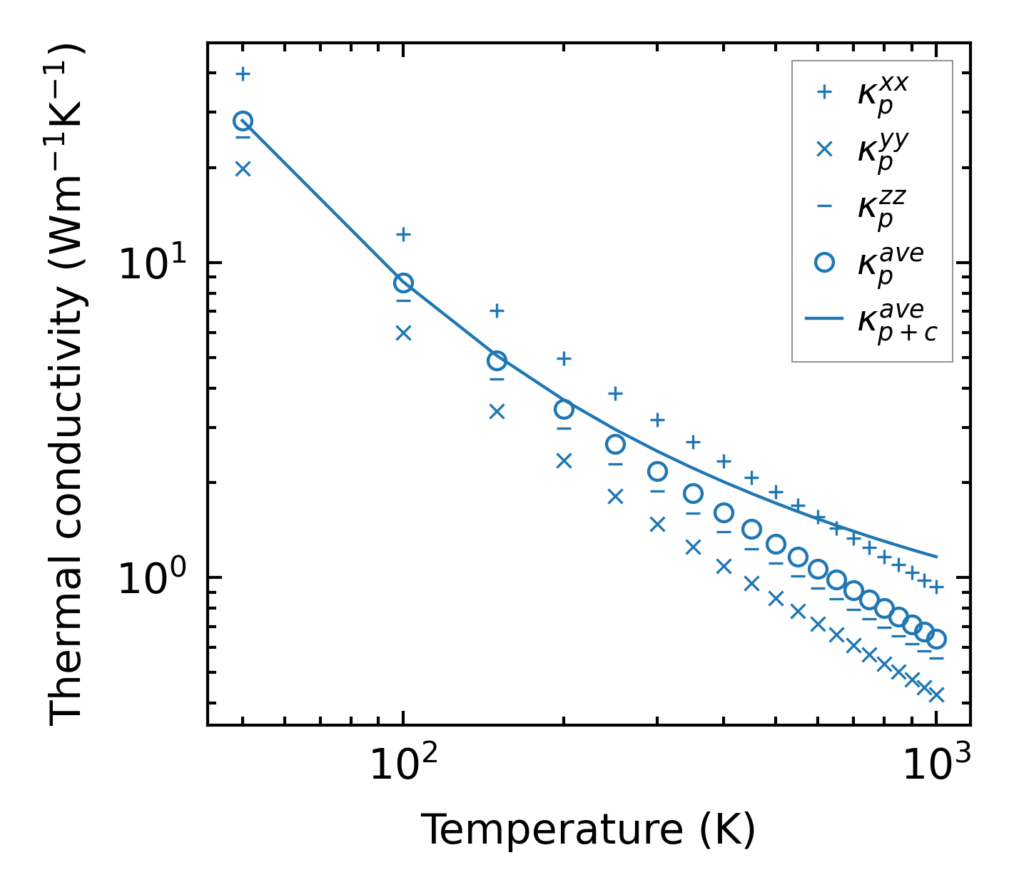
3-phonon (LASSO), supercell 2x1x2 — q-mesh: 13x4x6, supercell: 2x1x2

../../_images/fig_kappa2205.png

(a) Temperature-dependent lattice thermal conductivity

../../_images/fig_kappa_vs_grain_size1159.png

(b) Peierls lattice thermal conductivity w.r.t grain size

Phonon lifetime and scattering rates

../../_images/fig_lifetime1136.png

(a) Phonon lifetime due to phonon-phonon scattering

../../_images/fig_scat_rates1135.png

(b) Phonon scattering rates

Cumulative and spectral thermal conductivity

../../_images/fig_cumu_frequency1136.png

(a) Spectral and cumulative thermal conductivity w.r.t frequency

../../_images/fig_cumu_mfp1136.png

(b) Spectral and cumulative thermal conductivity w.r.t MFP

Force constants

../../_images/fig_fc21825.png

(a) Force constants w.r.t atomic distance

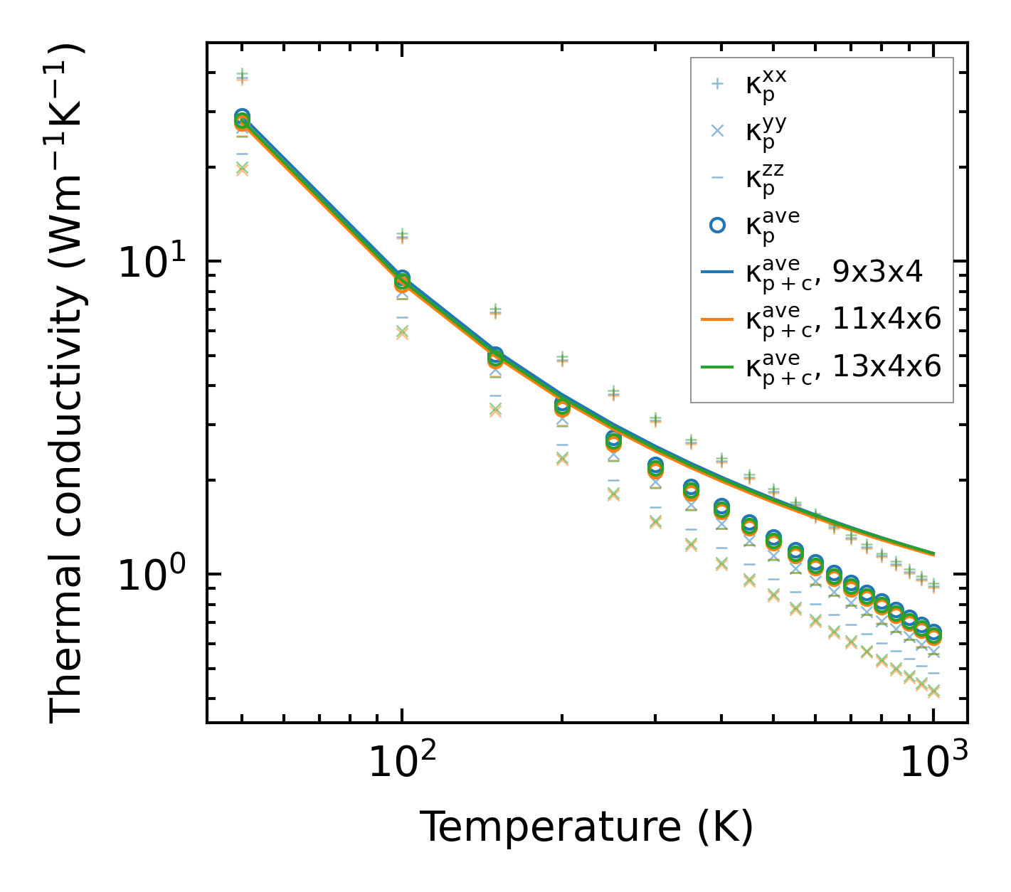
Summary

../../_images/fig_kappa2206.png

(a) Temperature-dependent lattice thermal conductivity

../../_images/fig_times3071.png

(b) Computation time