mp-780226-2/Li3LaO3/anharm

Equation of state

../../_images/fig_bm820.png

(a) Equation of state

Harmonic properties

../../_images/fig_bandos_pr1973.png

(a) Phonon dispersion with participation ratio and DOS

../../_images/fig_bandos1987.png

(b) Phonon dispersion and DOS

../../_images/fig_thermo1973.png

(c) Thermodynamic properties

Grüneisen parameters

../../_images/fig_gru_all1133.png

(a) Grüneisen parameters

../../_images/fig_gruneisen1133.png

(b) Phonon dispersion with Grüneisen parameters

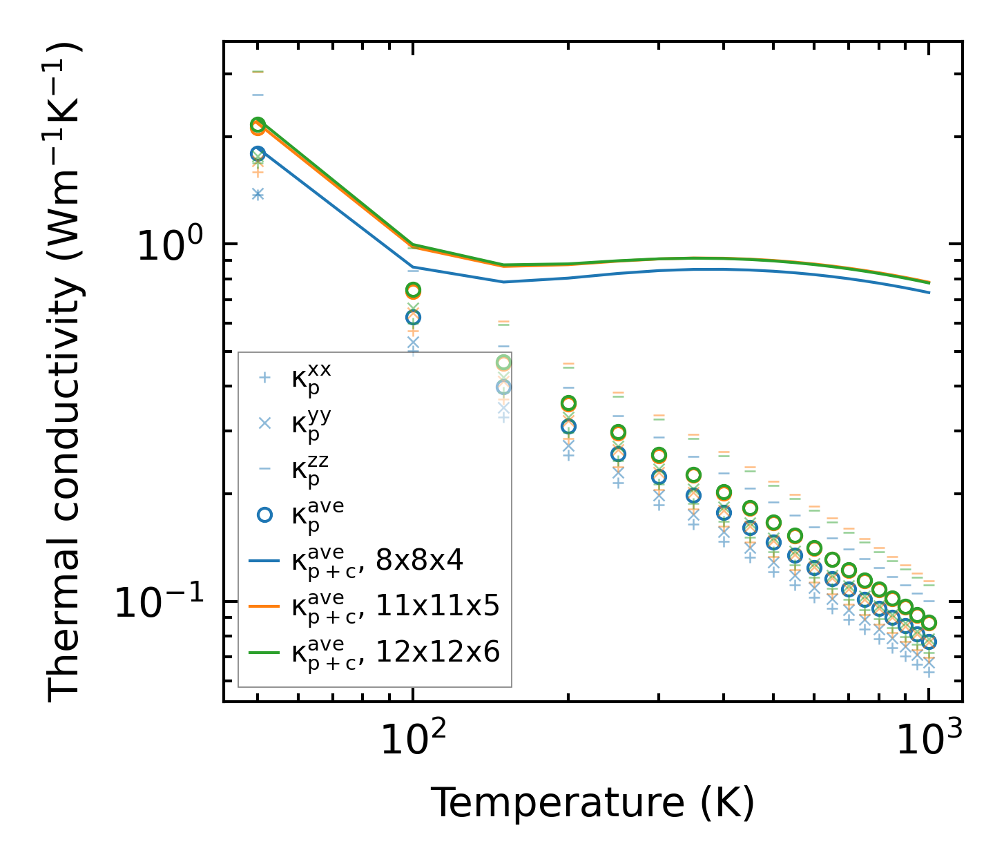
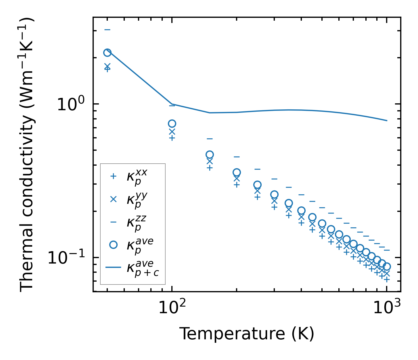
Thermal conductivity

3-phonon (LASSO) — q-mesh: 12x12x6, supercell: 2x1x1

../../_images/fig_kappa2182.png

(a) Temperature-dependent lattice thermal conductivity

../../_images/fig_kappa_vs_grain_size1146.png

(b) Peierls lattice thermal conductivity w.r.t grain size

Phonon lifetime and scattering rates

../../_images/fig_lifetime1124.png

(a) Phonon lifetime due to phonon-phonon scattering

../../_images/fig_scat_rates1123.png

(b) Phonon scattering rates

Cumulative and spectral thermal conductivity

../../_images/fig_cumu_frequency1124.png

(a) Spectral and cumulative thermal conductivity w.r.t frequency

../../_images/fig_cumu_mfp1124.png

(b) Spectral and cumulative thermal conductivity w.r.t MFP

Force constants

../../_images/fig_fc21796.png

(a) Force constants w.r.t atomic distance

Summary

../../_images/fig_kappa2183.png

(a) Temperature-dependent lattice thermal conductivity

../../_images/fig_times3007.png

(b) Computation time