mp-780217-2/Li7CuO4/anharm

Equation of state

../../_images/fig_bm819.png

(a) Equation of state

Harmonic properties

../../_images/fig_bandos_pr1971.png

(a) Phonon dispersion with participation ratio and DOS

../../_images/fig_bandos1984.png

(b) Phonon dispersion and DOS

../../_images/fig_thermo1971.png

(c) Thermodynamic properties

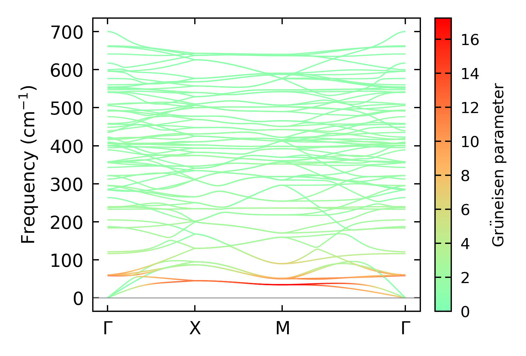
Grüneisen parameters

../../_images/fig_gru_all1132.png

(a) Grüneisen parameters

../../_images/fig_gruneisen1132.png

(b) Phonon dispersion with Grüneisen parameters

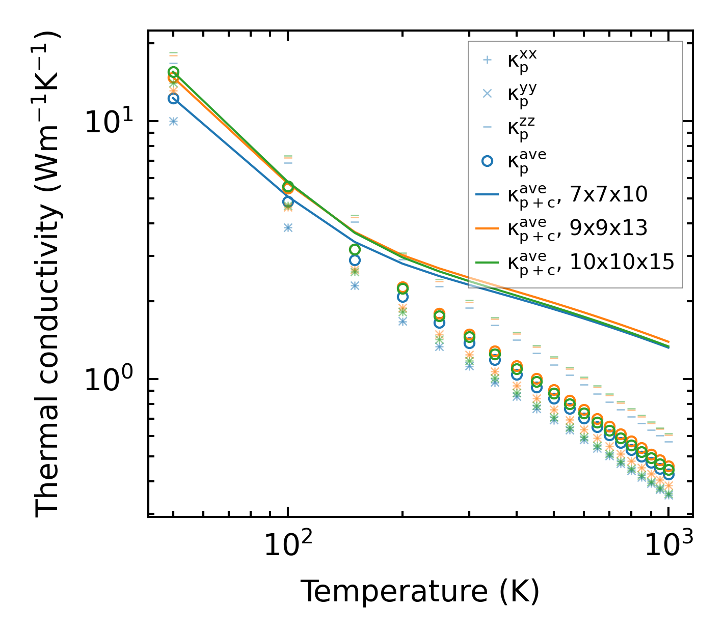
Thermal conductivity

3-phonon (LASSO) — q-mesh: 10x10x15, supercell: 1x1x2

../../_images/fig_kappa2179.png

(a) Temperature-dependent lattice thermal conductivity

../../_images/fig_kappa_vs_grain_size1144.png

(b) Peierls lattice thermal conductivity w.r.t grain size

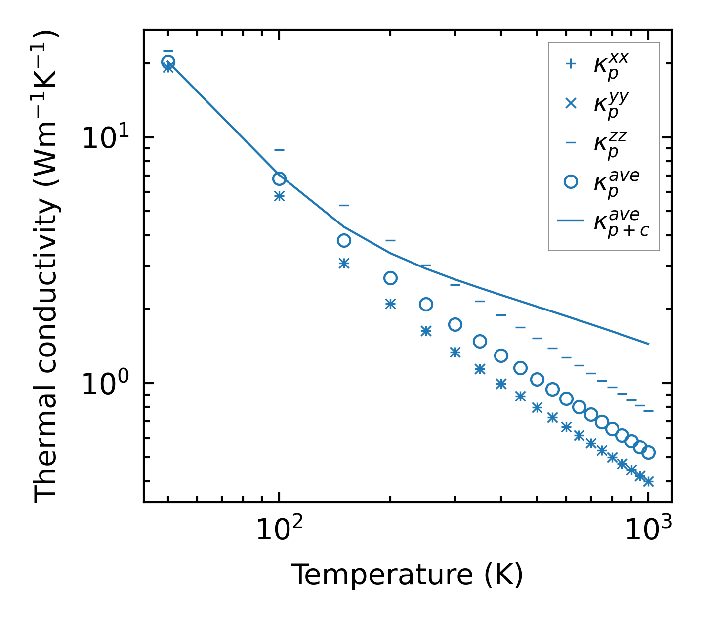
3-phonon (LASSO), supercell 2x2x2 — q-mesh: 10x10x15, supercell: 2x2x2

../../_images/fig_kappa2180.png

(a) Temperature-dependent lattice thermal conductivity

../../_images/fig_kappa_vs_grain_size1145.png

(b) Peierls lattice thermal conductivity w.r.t grain size

Phonon lifetime and scattering rates

../../_images/fig_lifetime1123.png

(a) Phonon lifetime due to phonon-phonon scattering

../../_images/fig_scat_rates1122.png

(b) Phonon scattering rates

Cumulative and spectral thermal conductivity

../../_images/fig_cumu_frequency1123.png

(a) Spectral and cumulative thermal conductivity w.r.t frequency

../../_images/fig_cumu_mfp1123.png

(b) Spectral and cumulative thermal conductivity w.r.t MFP

Force constants

../../_images/fig_fc21794.png

(a) Force constants w.r.t atomic distance

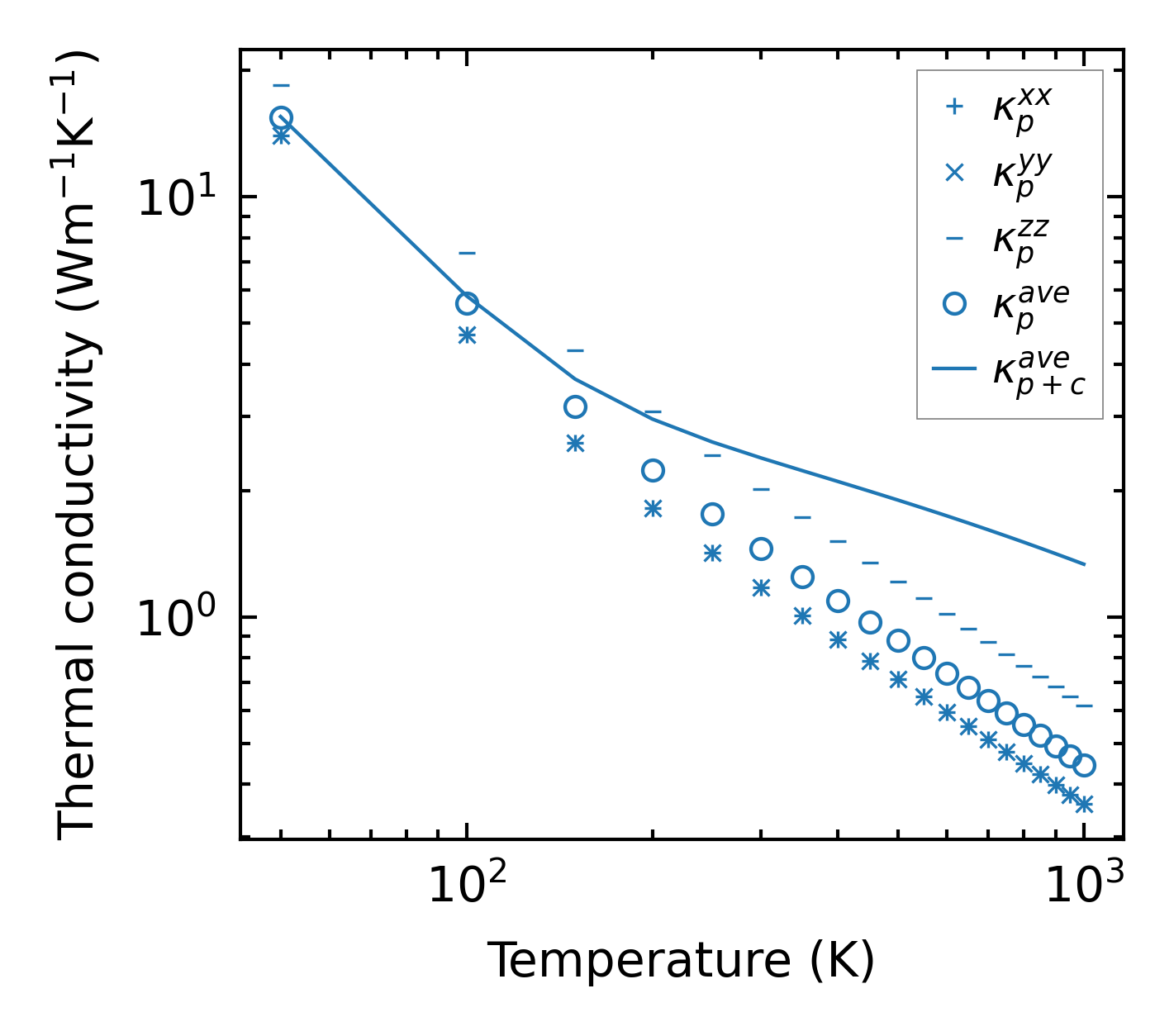
Summary

../../_images/fig_kappa2181.png

(a) Temperature-dependent lattice thermal conductivity

../../_images/fig_times3004.png

(b) Computation time