mp-780237-2/Li3Cu3P2O8/harm

Equation of state

../../_images/fig_bm824.png

(a) Equation of state

Harmonic properties

../../_images/fig_bandos_pr1974.png

(a) Phonon dispersion with participation ratio and DOS

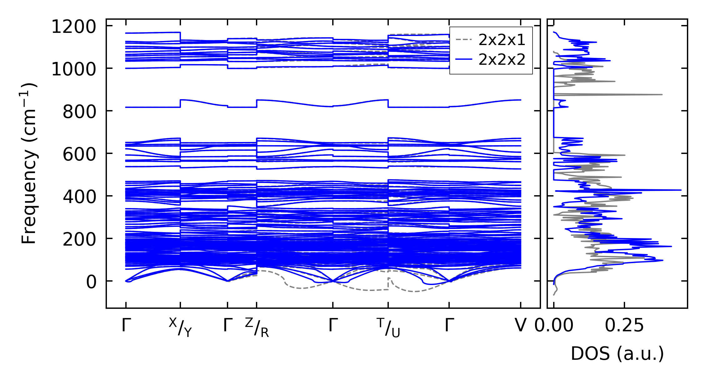
../../_images/fig_bandos1995.png

(b) Phonon dispersion and DOS

../../_images/fig_thermo1974.png

(c) Thermodynamic properties

Force constants

../../_images/fig_fc21797.png

(a) Force constants w.r.t atomic distance

Summary

../../_images/fig_times3015.png

(a) Computation time