mp-684969-2/Sc2S3/anharm

Equation of state

../../_images/fig_bm2474.png

(a) Equation of state

Harmonic properties

../../_images/fig_bandos_pr5001.png

(a) Phonon dispersion with participation ratio and DOS

../../_images/fig_thermo5001.png

(b) Thermodynamic properties

Grüneisen parameters

../../_images/fig_gru_all2127.png

(a) Grüneisen parameters

../../_images/fig_gruneisen2127.png

(b) Phonon dispersion with Grüneisen parameters

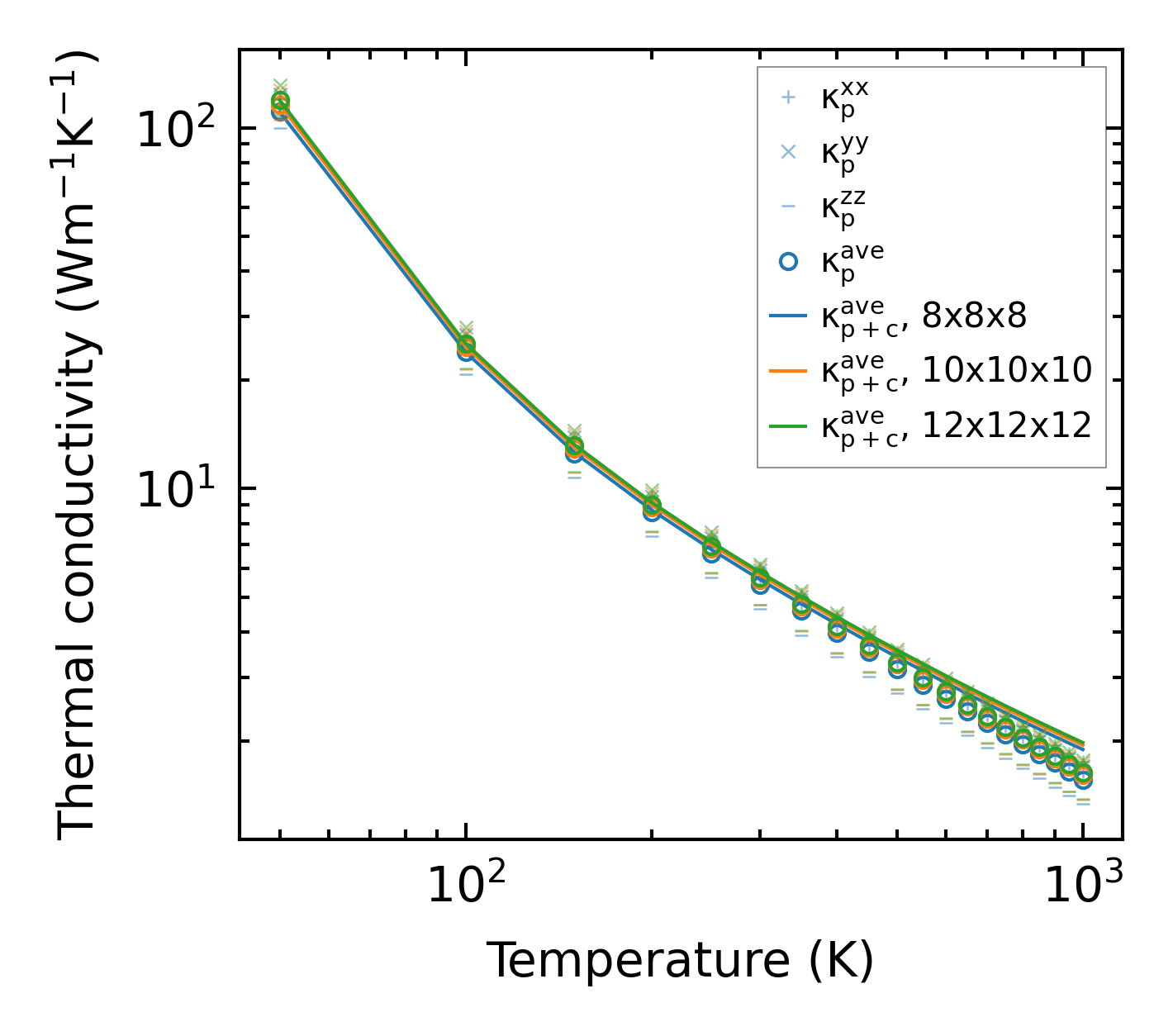
Thermal conductivity

3-phonon (LASSO) — q-mesh: 12x12x12, supercell: 2x1x2

../../_images/fig_kappa4075.png

(a) Temperature-dependent lattice thermal conductivity

../../_images/fig_kappa_vs_grain_size2159.png

(b) Peierls lattice thermal conductivity w.r.t grain size

Phonon lifetime and scattering rates

../../_images/fig_lifetime2114.png

(a) Phonon lifetime due to phonon-phonon scattering

../../_images/fig_scat_rates2113.png

(b) Phonon scattering rates

Cumulative and spectral thermal conductivity

../../_images/fig_cumu_frequency2114.png

(a) Spectral and cumulative thermal conductivity w.r.t frequency

../../_images/fig_cumu_mfp2114.png

(b) Spectral and cumulative thermal conductivity w.r.t MFP

Force constants

../../_images/fig_fc24806.png

(a) Force constants w.r.t atomic distance

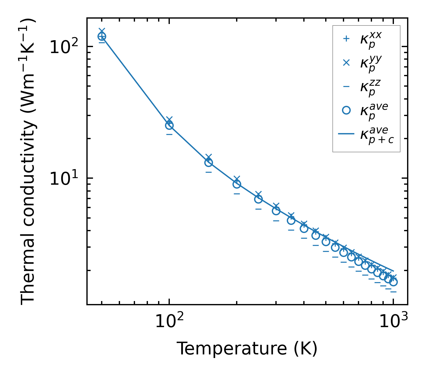
Summary

../../_images/fig_kappa4076.png

(a) Temperature-dependent lattice thermal conductivity

../../_images/fig_times8898.png

(b) Computation time