mp-684690-2/Sc2Se3/anharm

Equation of state

../../_images/fig_bm2470.png

(a) Equation of state

Harmonic properties

../../_images/fig_bandos_pr4989.png

(a) Phonon dispersion with participation ratio and DOS

../../_images/fig_thermo4989.png

(b) Thermodynamic properties

Grüneisen parameters

../../_images/fig_gru_all2121.png

(a) Grüneisen parameters

../../_images/fig_gruneisen2121.png

(b) Phonon dispersion with Grüneisen parameters

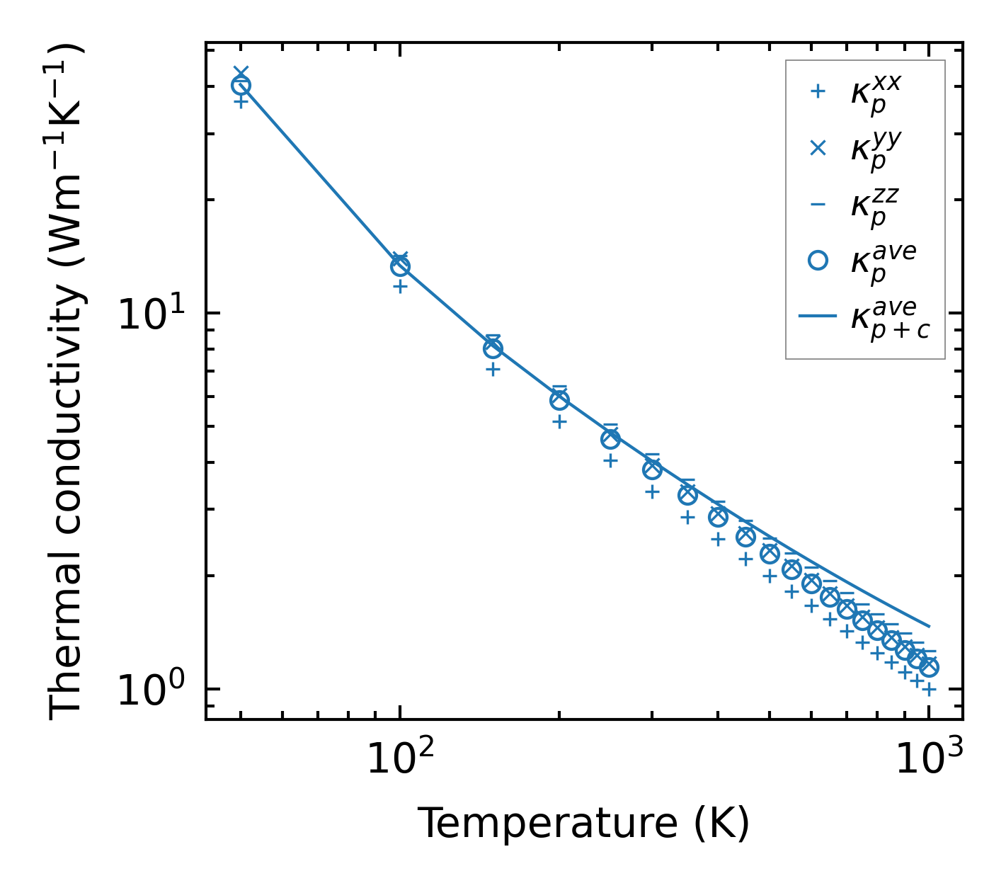
Thermal conductivity

3-phonon (LASSO) — q-mesh: 11x11x11, supercell: 2x1x2

../../_images/fig_kappa4065.png

(a) Temperature-dependent lattice thermal conductivity

../../_images/fig_kappa_vs_grain_size2153.png

(b) Peierls lattice thermal conductivity w.r.t grain size

Phonon lifetime and scattering rates

../../_images/fig_lifetime2108.png

(a) Phonon lifetime due to phonon-phonon scattering

../../_images/fig_scat_rates2107.png

(b) Phonon scattering rates

Cumulative and spectral thermal conductivity

../../_images/fig_cumu_frequency2108.png

(a) Spectral and cumulative thermal conductivity w.r.t frequency

../../_images/fig_cumu_mfp2108.png

(b) Spectral and cumulative thermal conductivity w.r.t MFP

Force constants

../../_images/fig_fc24794.png

(a) Force constants w.r.t atomic distance

Summary

../../_images/fig_kappa4066.png

(a) Temperature-dependent lattice thermal conductivity

../../_images/fig_times8872.png

(b) Computation time