mp-684580-2/AgI/anharm

Equation of state

../../_images/fig_bm2465.png

(a) Equation of state

Harmonic properties

../../_images/fig_bandos_pr4984.png

(a) Phonon dispersion with participation ratio and DOS

../../_images/fig_bandos6980.png

(b) Phonon dispersion and DOS

../../_images/fig_thermo4984.png

(c) Thermodynamic properties

Grüneisen parameters

../../_images/fig_gru_all2117.png

(a) Grüneisen parameters

../../_images/fig_gruneisen2117.png

(b) Phonon dispersion with Grüneisen parameters

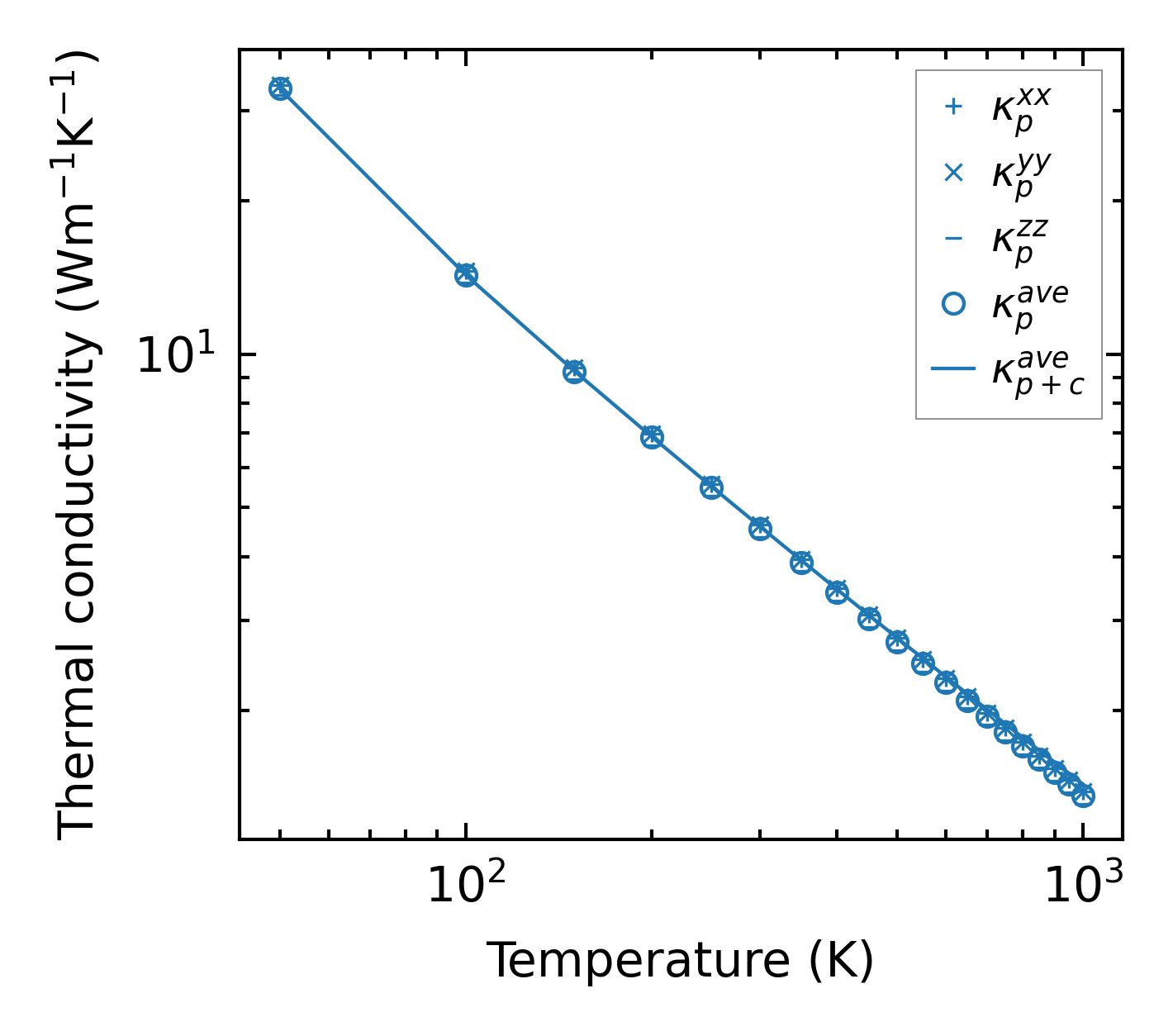
Thermal conductivity

3-phonon, supercell 4x4x3 — q-mesh: 17x17x17, supercell: 4x4x3

../../_images/fig_kappa4059.png

(a) Temperature-dependent lattice thermal conductivity

../../_images/fig_kappa_vs_grain_size2149.png

(b) Peierls lattice thermal conductivity w.r.t grain size

Phonon lifetime and scattering rates

../../_images/fig_lifetime2104.png

(a) Phonon lifetime due to phonon-phonon scattering

../../_images/fig_scat_rates2103.png

(b) Phonon scattering rates

Cumulative and spectral thermal conductivity

../../_images/fig_cumu_frequency2104.png

(a) Spectral and cumulative thermal conductivity w.r.t frequency

../../_images/fig_cumu_mfp2104.png

(b) Spectral and cumulative thermal conductivity w.r.t MFP

Force constants

../../_images/fig_fc3193.png

(a) Force constants w.r.t atomic distance

Summary

../../_images/fig_times8857.png

(a) Computation time