mp-684919/H16PtC4N2Cl6/harm

Harmonic properties

../../_images/fig_bandos_pr4999.png

(a) Phonon dispersion with participation ratio and DOS

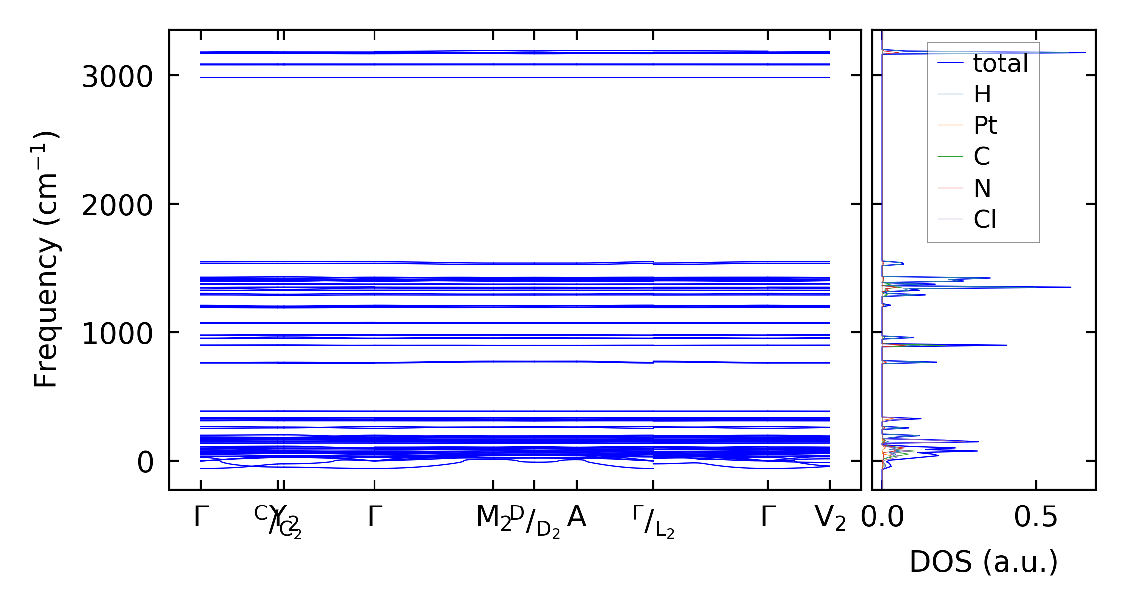
../../_images/fig_bandos7012.png

(b) Phonon dispersion and DOS

../../_images/fig_thermo4999.png

(c) Thermodynamic properties

Force constants

../../_images/fig_fc24804.png

(a) Force constants w.r.t atomic distance

Summary

../../_images/fig_times8894.png

(a) Computation time