mp-684904-2/K2O/anharm

Equation of state

../../_images/fig_bm2472.png

(a) Equation of state

Harmonic properties

../../_images/fig_bandos_pr4996.png

(a) Phonon dispersion with participation ratio and DOS

../../_images/fig_bandos7011.png

(b) Phonon dispersion and DOS

../../_images/fig_thermo4996.png

(c) Thermodynamic properties

Grüneisen parameters

../../_images/fig_gru_all2123.png

(a) Grüneisen parameters

../../_images/fig_gruneisen2123.png

(b) Phonon dispersion with Grüneisen parameters

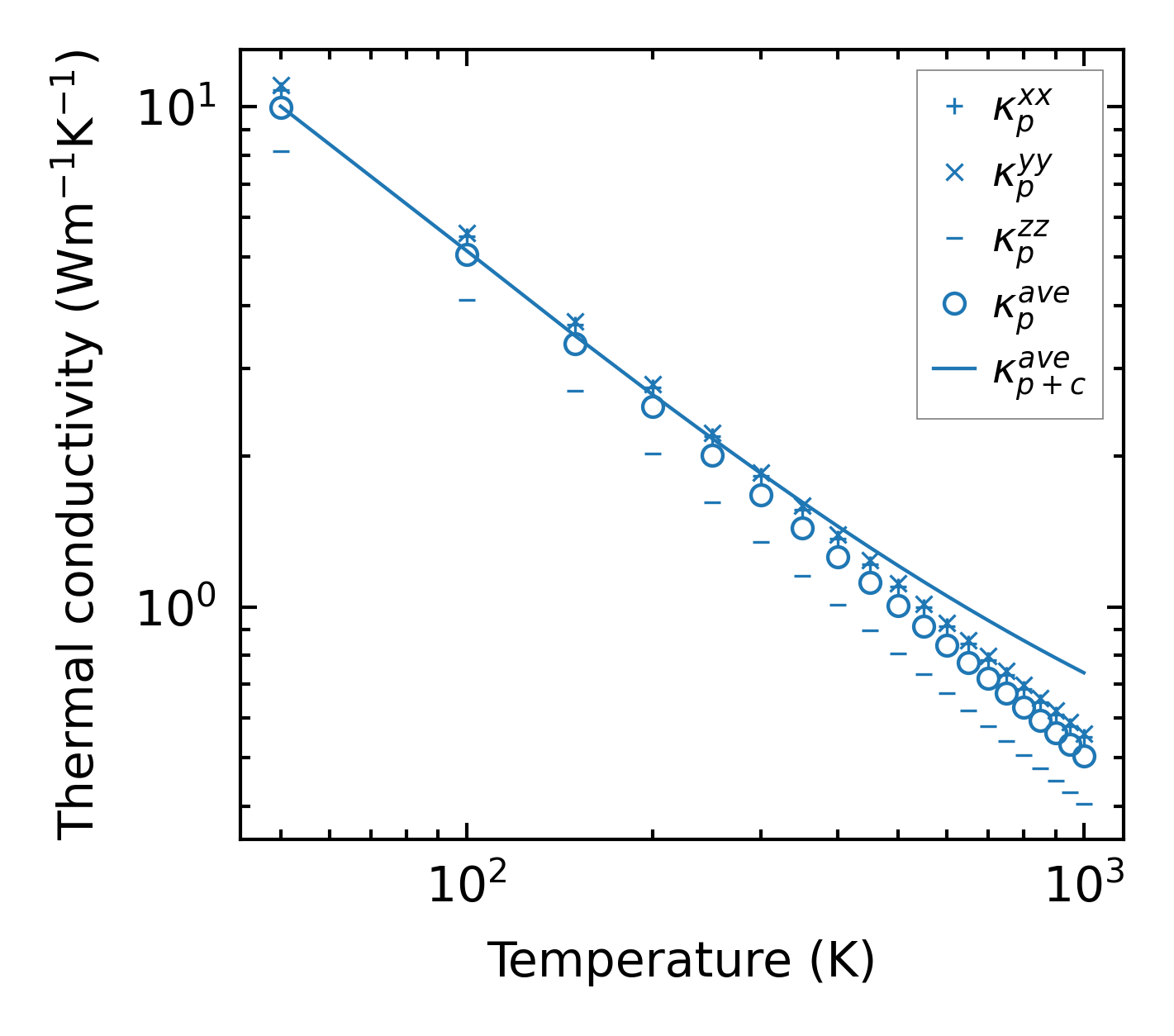
Thermal conductivity

3-phonon (LASSO), supercell 2x3x2 — q-mesh: 14x14x9, supercell: 2x3x2

../../_images/fig_kappa4068.png

(a) Temperature-dependent lattice thermal conductivity

../../_images/fig_kappa_vs_grain_size2155.png

(b) Peierls lattice thermal conductivity w.r.t grain size

Phonon lifetime and scattering rates

../../_images/fig_lifetime2110.png

(a) Phonon lifetime due to phonon-phonon scattering

../../_images/fig_scat_rates2109.png

(b) Phonon scattering rates

Cumulative and spectral thermal conductivity

../../_images/fig_cumu_frequency2110.png

(a) Spectral and cumulative thermal conductivity w.r.t frequency

../../_images/fig_cumu_mfp2110.png

(b) Spectral and cumulative thermal conductivity w.r.t MFP

Force constants

../../_images/fig_fc24801.png

(a) Force constants w.r.t atomic distance

Summary

../../_images/fig_times8891.png

(a) Computation time