mp-684015-2/Bi9AuBr9/anharm

Equation of state

../../_images/fig_bm2460.png

(a) Equation of state

Harmonic properties

../../_images/fig_bandos_pr4974.png

(a) Phonon dispersion with participation ratio and DOS

../../_images/fig_bandos6952.png

(b) Phonon dispersion and DOS

../../_images/fig_thermo4974.png

(c) Thermodynamic properties

Grüneisen parameters

../../_images/fig_gru_all2115.png

(a) Grüneisen parameters

../../_images/fig_gruneisen2115.png

(b) Phonon dispersion with Grüneisen parameters

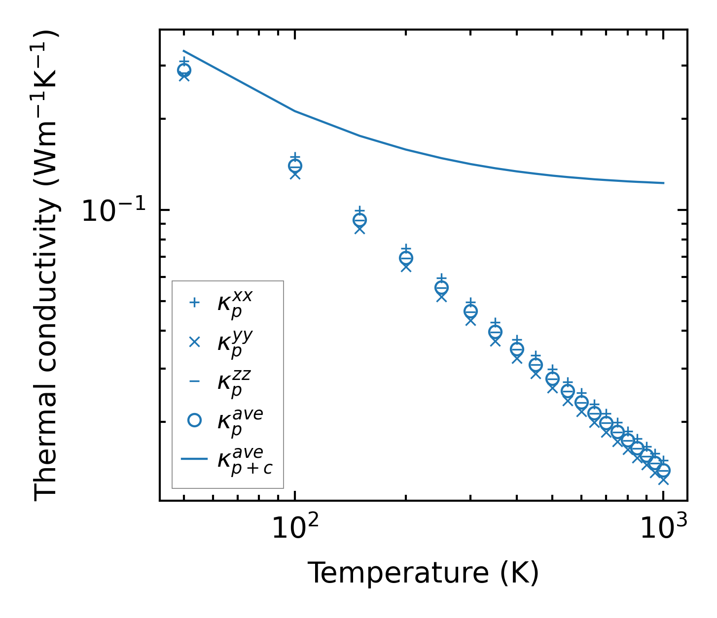
Thermal conductivity

3-phonon (LASSO), supercell 2x1x1 — q-mesh: 6x4x4, supercell: 2x1x1

../../_images/fig_kappa4057.png

(a) Temperature-dependent lattice thermal conductivity

../../_images/fig_kappa_vs_grain_size2147.png

(b) Peierls lattice thermal conductivity w.r.t grain size

Phonon lifetime and scattering rates

../../_images/fig_lifetime2102.png

(a) Phonon lifetime due to phonon-phonon scattering

../../_images/fig_scat_rates2101.png

(b) Phonon scattering rates

Cumulative and spectral thermal conductivity

../../_images/fig_cumu_frequency2102.png

(a) Spectral and cumulative thermal conductivity w.r.t frequency

../../_images/fig_cumu_mfp2102.png

(b) Spectral and cumulative thermal conductivity w.r.t MFP

Force constants

../../_images/fig_fc24781.png

(a) Force constants w.r.t atomic distance

Summary

../../_images/fig_times8829.png

(a) Computation time