mp-644494/Rb2H4Pd/anharm

Harmonic properties

../../_images/fig_bandos_pr5571.png

(a) Phonon dispersion with participation ratio and DOS

../../_images/fig_thermo5571.png

(b) Thermodynamic properties

Grüneisen parameters

../../_images/fig_gru_all2328.png

(a) Grüneisen parameters

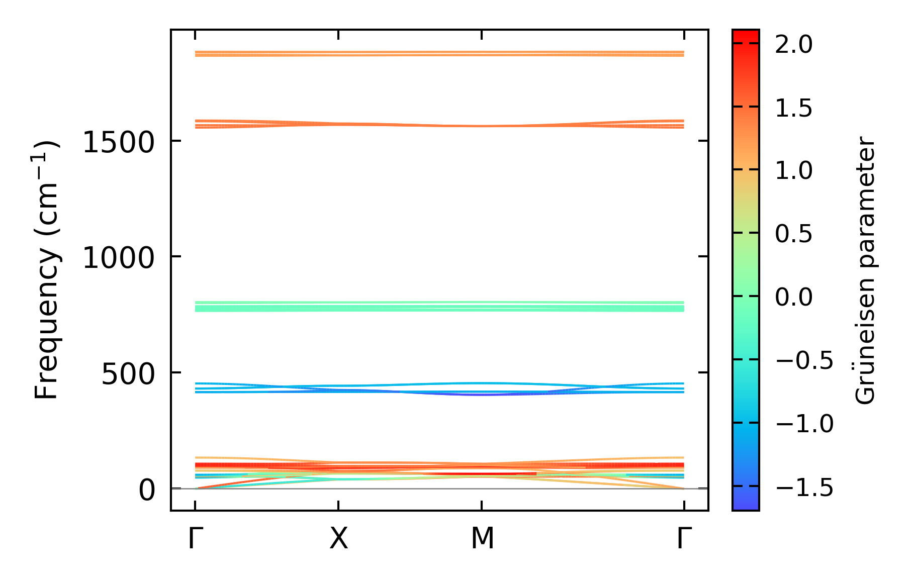
../../_images/fig_gruneisen2328.png

(b) Phonon dispersion with Grüneisen parameters

Thermal conductivity

3-phonon (LASSO) — q-mesh: 12x12x8, supercell: 2x2x2

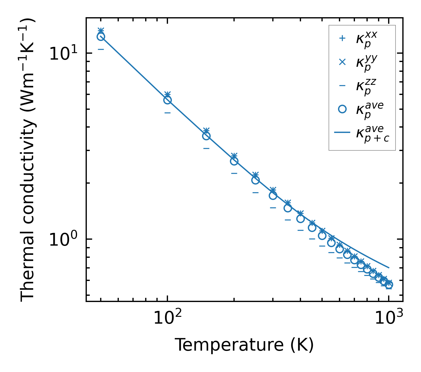
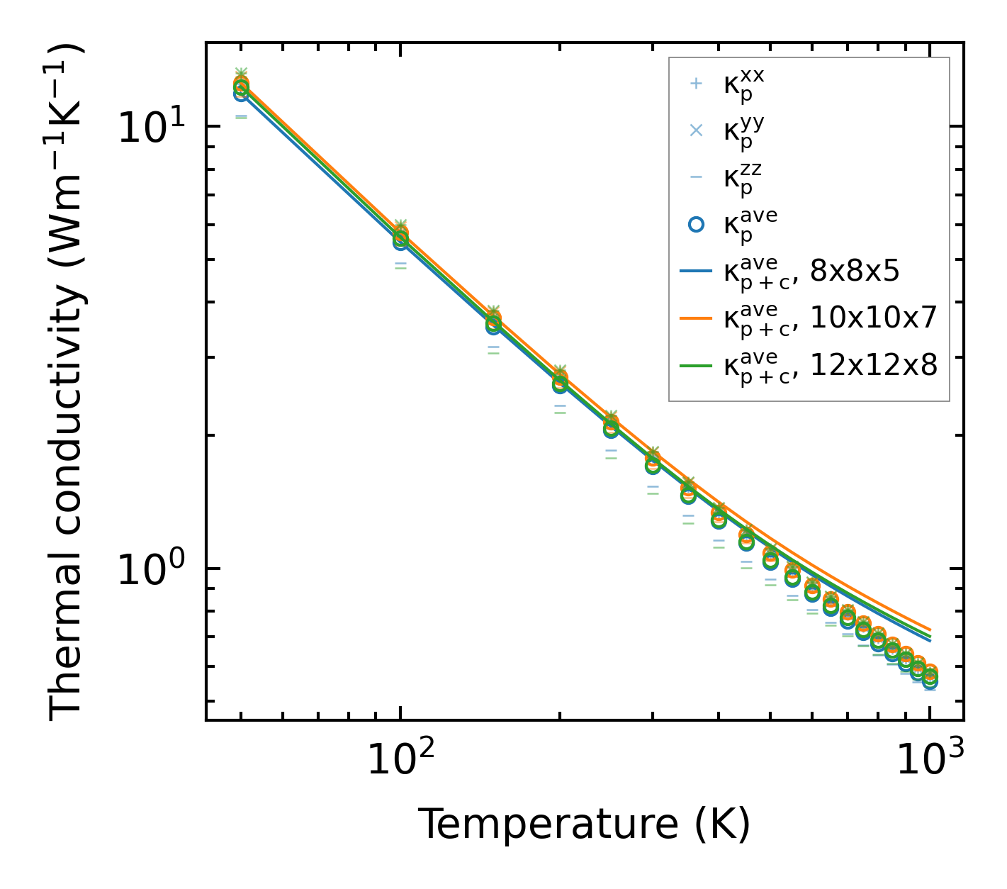
../../_images/fig_kappa4450.png

(a) Temperature-dependent lattice thermal conductivity

../../_images/fig_kappa_vs_grain_size2358.png

(b) Peierls lattice thermal conductivity w.r.t grain size

Phonon lifetime and scattering rates

../../_images/fig_lifetime2313.png

(a) Phonon lifetime due to phonon-phonon scattering

../../_images/fig_scat_rates2312.png

(b) Phonon scattering rates

Cumulative and spectral thermal conductivity

../../_images/fig_cumu_frequency2313.png

(a) Spectral and cumulative thermal conductivity w.r.t frequency

../../_images/fig_cumu_mfp2313.png

(b) Spectral and cumulative thermal conductivity w.r.t MFP

Force constants

../../_images/fig_fc25372.png

(a) Force constants w.r.t atomic distance

Summary

../../_images/fig_kappa4451.png

(a) Temperature-dependent lattice thermal conductivity

../../_images/fig_times10044.png

(b) Computation time