mp-644226/BaH2C2O5/harm

Harmonic properties

../../_images/fig_bandos_pr5552.png

(a) Phonon dispersion with participation ratio and DOS

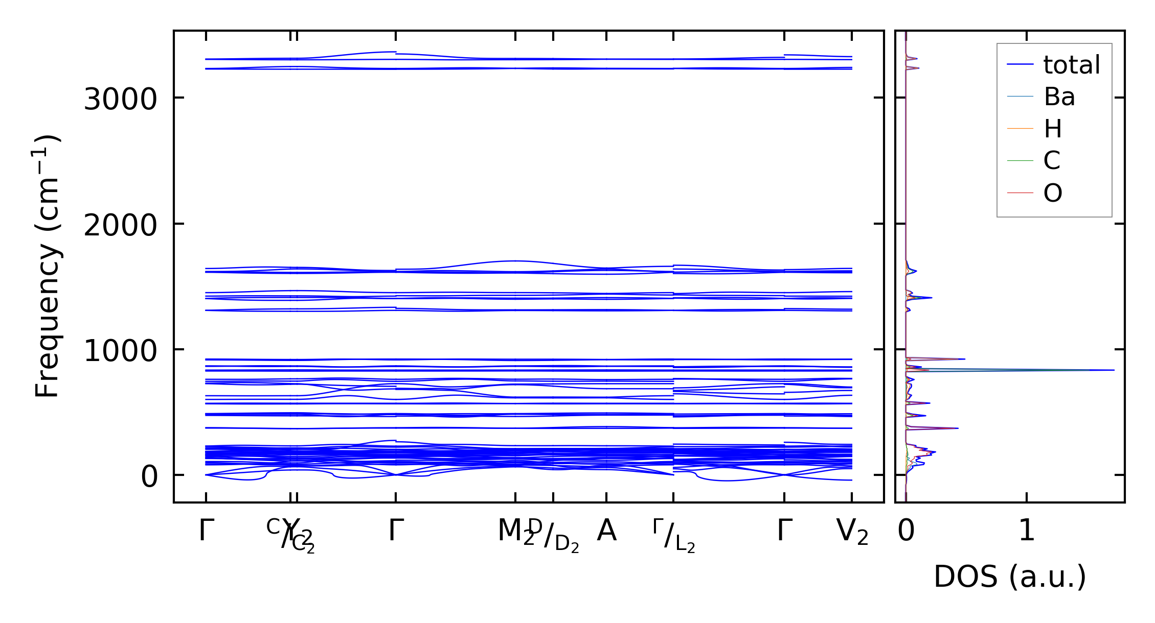
../../_images/fig_bandos7953.png

(b) Phonon dispersion and DOS

../../_images/fig_thermo5552.png

(c) Thermodynamic properties

Force constants

../../_images/fig_fc25353.png

(a) Force constants w.r.t atomic distance

Summary

../../_images/fig_times10015.png

(a) Computation time