mp-644101/H8C2IN/anharm

Harmonic properties

../../_images/fig_bandos_pr5547.png

(a) Phonon dispersion with participation ratio and DOS

../../_images/fig_thermo5547.png

(b) Thermodynamic properties

Grüneisen parameters

../../_images/fig_gru_all2316.png

(a) Grüneisen parameters

../../_images/fig_gruneisen2316.png

(b) Phonon dispersion with Grüneisen parameters

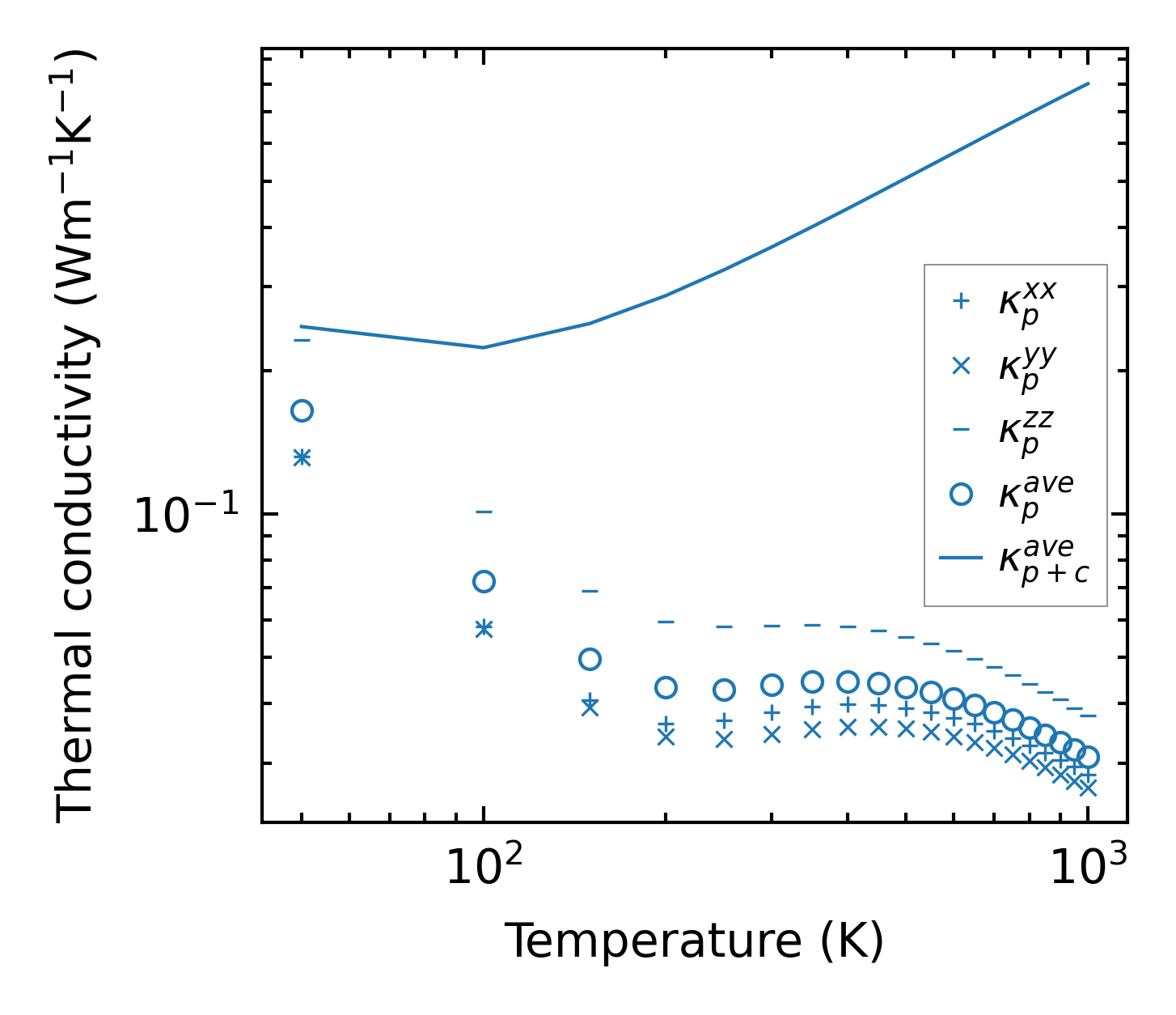
Thermal conductivity

3-phonon (LASSO) — q-mesh: 10x10x13, supercell: 1x1x2

../../_images/fig_kappa4427.png

(a) Temperature-dependent lattice thermal conductivity

../../_images/fig_kappa_vs_grain_size2346.png

(b) Peierls lattice thermal conductivity w.r.t grain size

Phonon lifetime and scattering rates

../../_images/fig_lifetime2301.png

(a) Phonon lifetime due to phonon-phonon scattering

../../_images/fig_scat_rates2300.png

(b) Phonon scattering rates

Cumulative and spectral thermal conductivity

../../_images/fig_cumu_frequency2301.png

(a) Spectral and cumulative thermal conductivity w.r.t frequency

../../_images/fig_cumu_mfp2301.png

(b) Spectral and cumulative thermal conductivity w.r.t MFP

Force constants

../../_images/fig_fc25349.png

(a) Force constants w.r.t atomic distance

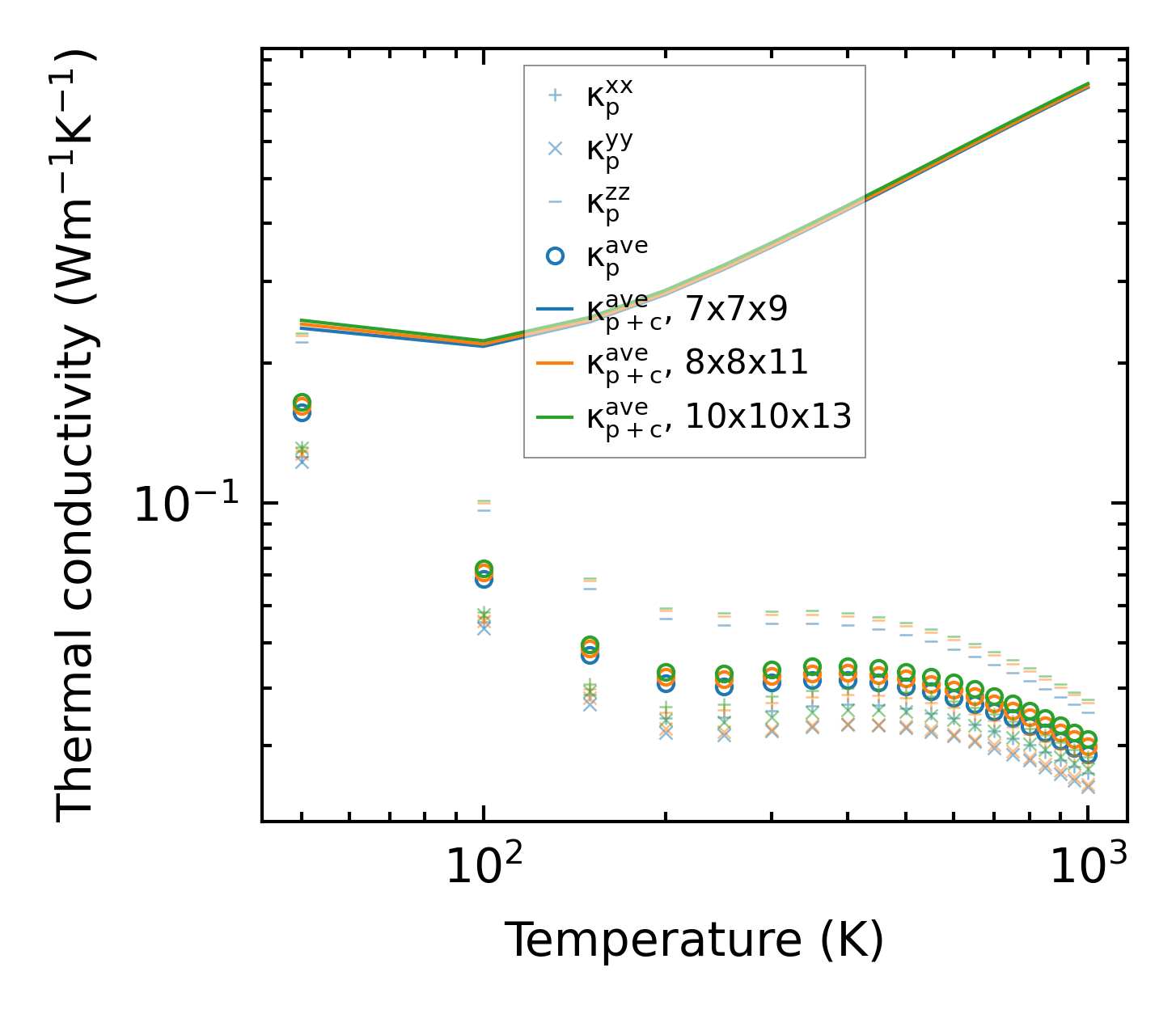
Summary

../../_images/fig_kappa4428.png

(a) Temperature-dependent lattice thermal conductivity

../../_images/fig_times10007.png

(b) Computation time