mp-644385/HCN/anharm

Harmonic properties

../../_images/fig_bandos_pr5561.png

(a) Phonon dispersion with participation ratio and DOS

../../_images/fig_thermo5561.png

(b) Thermodynamic properties

Grüneisen parameters

../../_images/fig_gru_all2322.png

(a) Grüneisen parameters

../../_images/fig_gruneisen2322.png

(b) Phonon dispersion with Grüneisen parameters

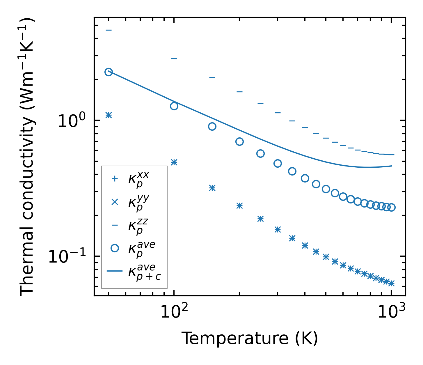
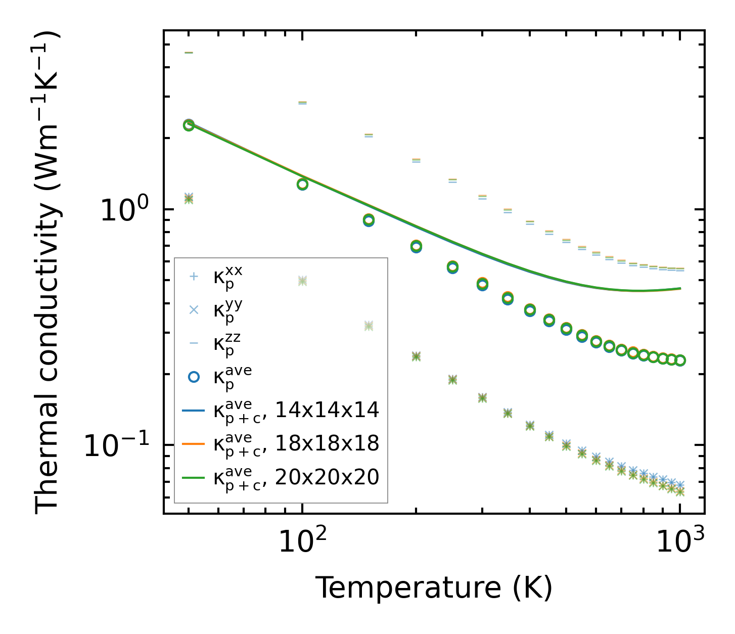
Thermal conductivity

3-phonon (LASSO) — q-mesh: 20x20x20, supercell: 2x2x3

../../_images/fig_kappa4438.png

(a) Temperature-dependent lattice thermal conductivity

../../_images/fig_kappa_vs_grain_size2352.png

(b) Peierls lattice thermal conductivity w.r.t grain size

Phonon lifetime and scattering rates

../../_images/fig_lifetime2307.png

(a) Phonon lifetime due to phonon-phonon scattering

../../_images/fig_scat_rates2306.png

(b) Phonon scattering rates

Cumulative and spectral thermal conductivity

../../_images/fig_cumu_frequency2307.png

(a) Spectral and cumulative thermal conductivity w.r.t frequency

../../_images/fig_cumu_mfp2307.png

(b) Spectral and cumulative thermal conductivity w.r.t MFP

Force constants

../../_images/fig_fc25362.png

(a) Force constants w.r.t atomic distance

Summary

../../_images/fig_kappa4439.png

(a) Temperature-dependent lattice thermal conductivity

../../_images/fig_times10034.png

(b) Computation time