mp-644418/CaH2CClO3/anharm

Harmonic properties

../../_images/fig_bandos_pr5564.png

(a) Phonon dispersion with participation ratio and DOS

../../_images/fig_thermo5564.png

(b) Thermodynamic properties

Grüneisen parameters

../../_images/fig_gru_all2325.png

(a) Grüneisen parameters

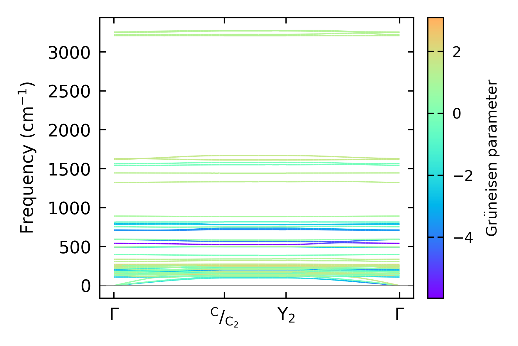
../../_images/fig_gruneisen2325.png

(b) Phonon dispersion with Grüneisen parameters

Thermal conductivity

3-phonon (LASSO) — q-mesh: 13x13x11, supercell: 1x2x2

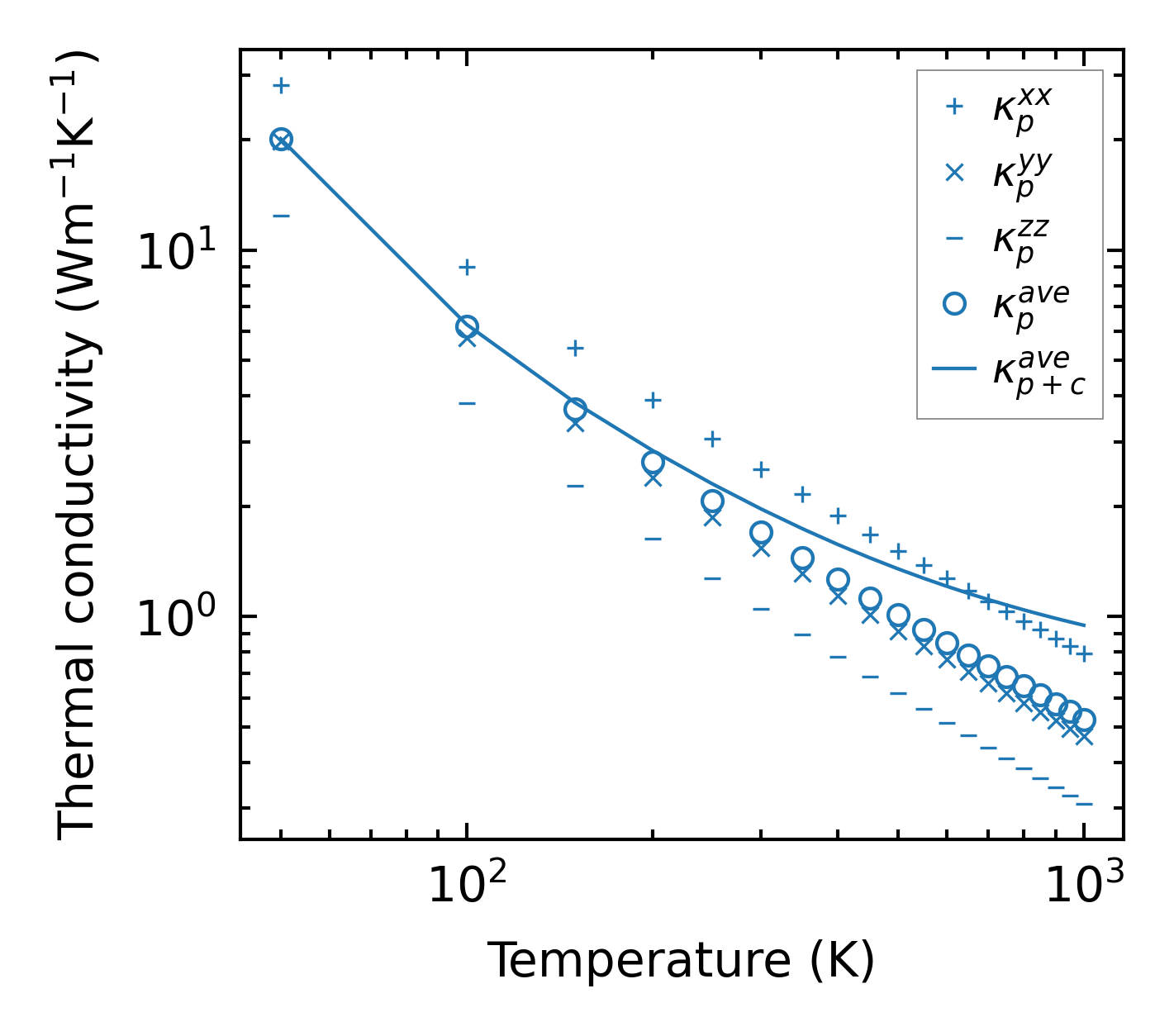
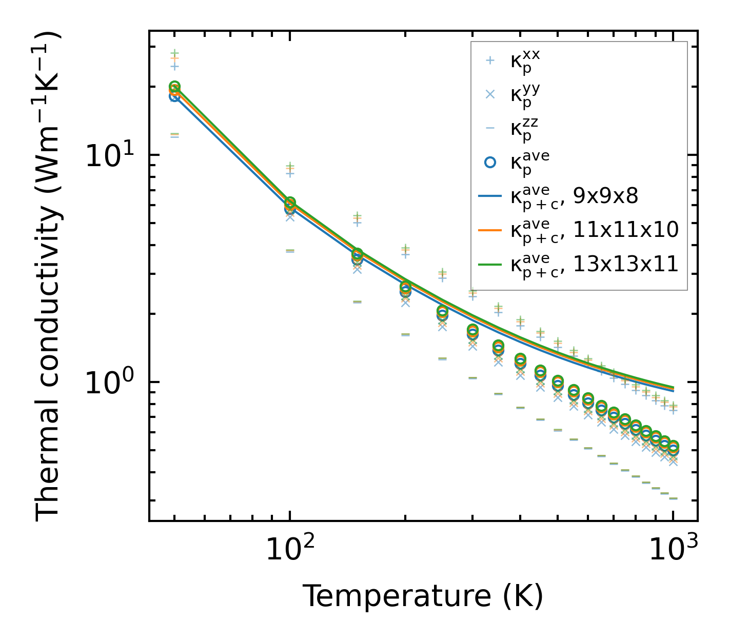
../../_images/fig_kappa4444.png

(a) Temperature-dependent lattice thermal conductivity

../../_images/fig_kappa_vs_grain_size2355.png

(b) Peierls lattice thermal conductivity w.r.t grain size

Phonon lifetime and scattering rates

../../_images/fig_lifetime2310.png

(a) Phonon lifetime due to phonon-phonon scattering

../../_images/fig_scat_rates2309.png

(b) Phonon scattering rates

Cumulative and spectral thermal conductivity

../../_images/fig_cumu_frequency2310.png

(a) Spectral and cumulative thermal conductivity w.r.t frequency

../../_images/fig_cumu_mfp2310.png

(b) Spectral and cumulative thermal conductivity w.r.t MFP

Force constants

../../_images/fig_fc25365.png

(a) Force constants w.r.t atomic distance

Summary

../../_images/fig_kappa4445.png

(a) Temperature-dependent lattice thermal conductivity

../../_images/fig_times10037.png

(b) Computation time