mp-616572/Li2P2PdO7/anharm

Harmonic properties

../../_images/fig_bandos_pr6037.png

(a) Phonon dispersion with participation ratio and DOS

../../_images/fig_thermo6037.png

(b) Thermodynamic properties

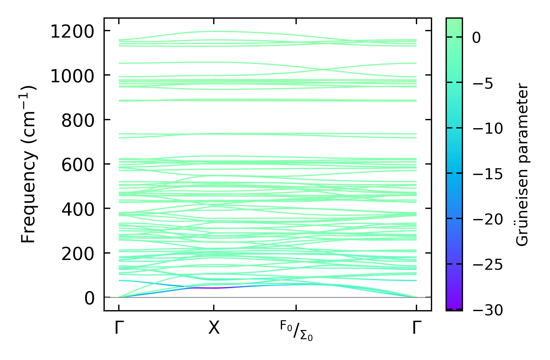
Grüneisen parameters

../../_images/fig_gru_all2456.png

(a) Grüneisen parameters

../../_images/fig_gruneisen2456.png

(b) Phonon dispersion with Grüneisen parameters

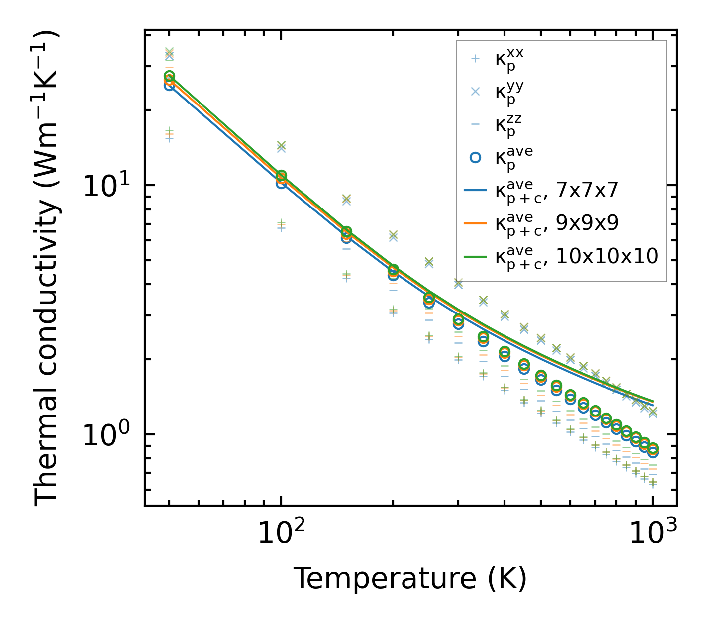
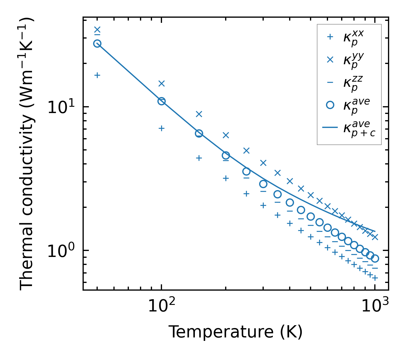
Thermal conductivity

3-phonon (LASSO) — q-mesh: 10x10x10, supercell: 1x1x2

../../_images/fig_kappa4678.png

(a) Temperature-dependent lattice thermal conductivity

../../_images/fig_kappa_vs_grain_size2487.png

(b) Peierls lattice thermal conductivity w.r.t grain size

Phonon lifetime and scattering rates

../../_images/fig_lifetime2439.png

(a) Phonon lifetime due to phonon-phonon scattering

../../_images/fig_scat_rates2438.png

(b) Phonon scattering rates

Cumulative and spectral thermal conductivity

../../_images/fig_cumu_frequency2439.png

(a) Spectral and cumulative thermal conductivity w.r.t frequency

../../_images/fig_cumu_mfp2438.png

(b) Spectral and cumulative thermal conductivity w.r.t MFP

Force constants

../../_images/fig_fc25828.png

(a) Force constants w.r.t atomic distance

Summary

../../_images/fig_kappa4679.png

(a) Temperature-dependent lattice thermal conductivity

../../_images/fig_times11055.png

(b) Computation time