mp-616461/Na2ZnCl4/anharm

Harmonic properties

../../_images/fig_bandos_pr6025.png

(a) Phonon dispersion with participation ratio and DOS

../../_images/fig_thermo6025.png

(b) Thermodynamic properties

Grüneisen parameters

../../_images/fig_gru_all2455.png

(a) Grüneisen parameters

../../_images/fig_gruneisen2455.png

(b) Phonon dispersion with Grüneisen parameters

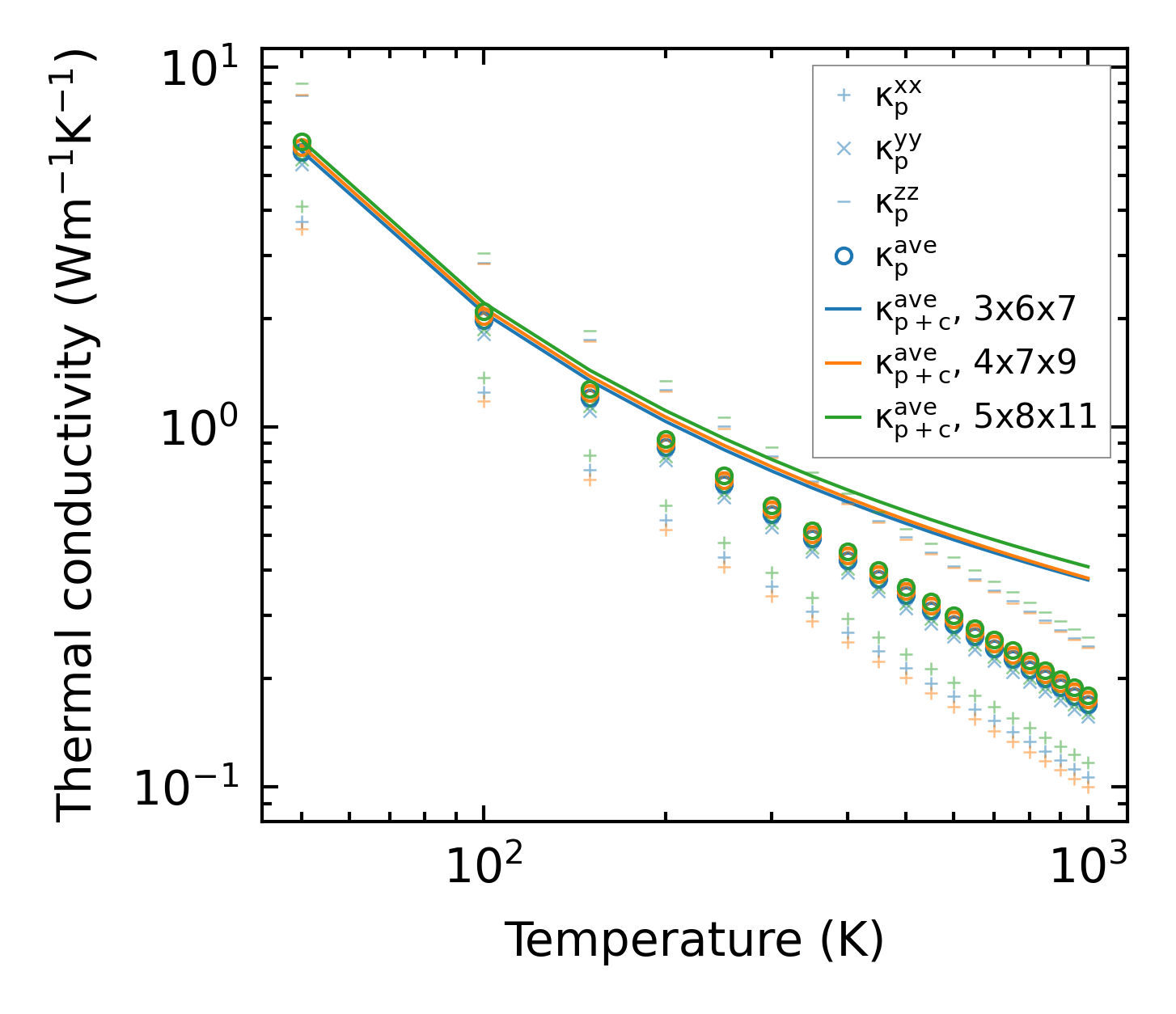
Thermal conductivity

3-phonon (LASSO) — q-mesh: 5x8x11, supercell: 1x2x2

../../_images/fig_kappa4676.png

(a) Temperature-dependent lattice thermal conductivity

../../_images/fig_kappa_vs_grain_size2486.png

(b) Peierls lattice thermal conductivity w.r.t grain size

Phonon lifetime and scattering rates

../../_images/fig_lifetime2438.png

(a) Phonon lifetime due to phonon-phonon scattering

../../_images/fig_scat_rates2437.png

(b) Phonon scattering rates

Cumulative and spectral thermal conductivity

../../_images/fig_cumu_frequency2438.png

(a) Spectral and cumulative thermal conductivity w.r.t frequency

../../_images/fig_cumu_mfp2437.png

(b) Spectral and cumulative thermal conductivity w.r.t MFP

Force constants

../../_images/fig_fc25816.png

(a) Force constants w.r.t atomic distance

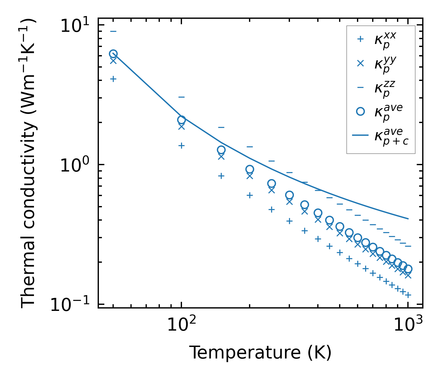
Summary

../../_images/fig_kappa4677.png

(a) Temperature-dependent lattice thermal conductivity

../../_images/fig_times11038.png

(b) Computation time