mp-616327/In3Te3I/anharm

Harmonic properties

../../_images/fig_bandos_pr6022.png

(a) Phonon dispersion with participation ratio and DOS

../../_images/fig_thermo6022.png

(b) Thermodynamic properties

Grüneisen parameters

../../_images/fig_gru_all2453.png

(a) Grüneisen parameters

../../_images/fig_gruneisen2453.png

(b) Phonon dispersion with Grüneisen parameters

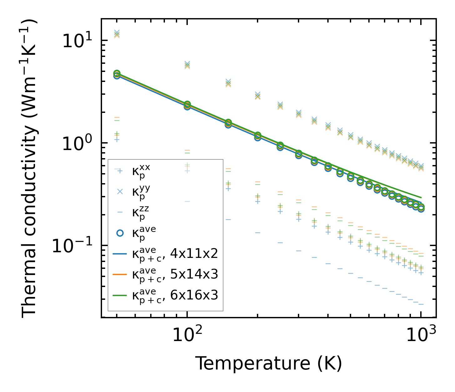
Thermal conductivity

3-phonon (LASSO) — q-mesh: 6x16x3, supercell: 1x3x1

../../_images/fig_kappa4672.png

(a) Temperature-dependent lattice thermal conductivity

../../_images/fig_kappa_vs_grain_size2484.png

(b) Peierls lattice thermal conductivity w.r.t grain size

Phonon lifetime and scattering rates

../../_images/fig_lifetime2436.png

(a) Phonon lifetime due to phonon-phonon scattering

../../_images/fig_scat_rates2435.png

(b) Phonon scattering rates

Cumulative and spectral thermal conductivity

../../_images/fig_cumu_frequency2436.png

(a) Spectral and cumulative thermal conductivity w.r.t frequency

../../_images/fig_cumu_mfp2435.png

(b) Spectral and cumulative thermal conductivity w.r.t MFP

Force constants

../../_images/fig_fc25813.png

(a) Force constants w.r.t atomic distance

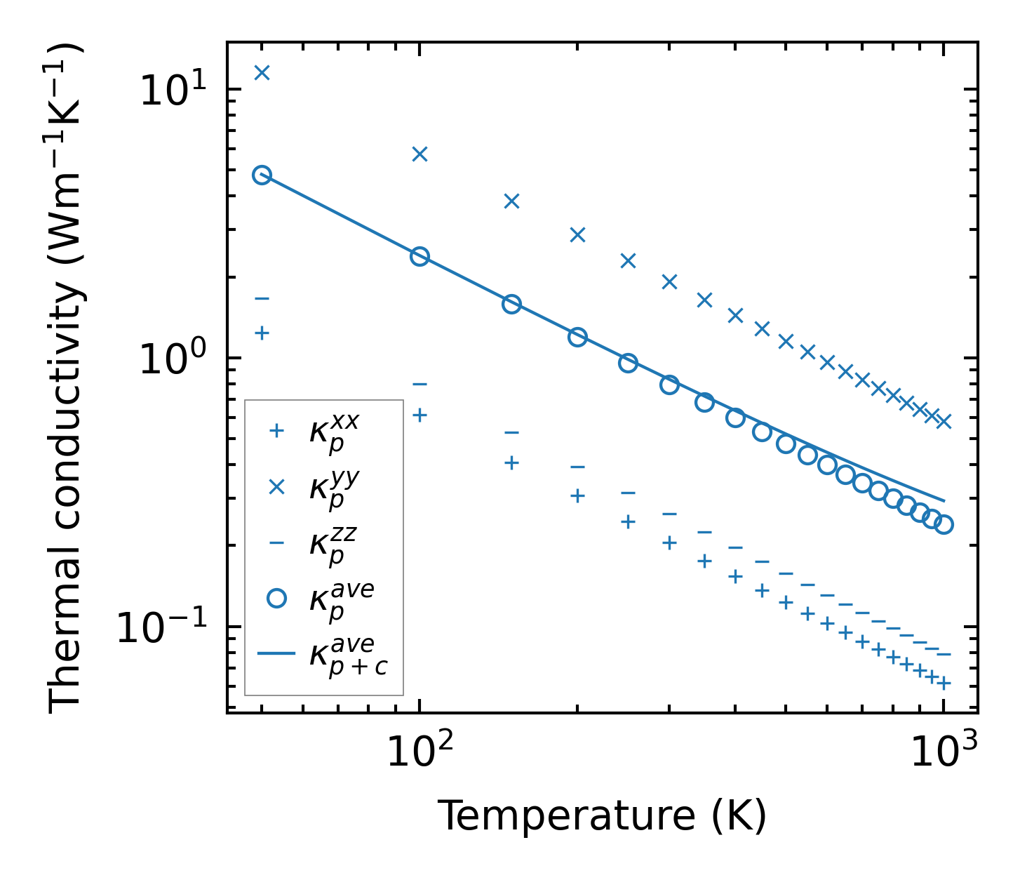
Summary

../../_images/fig_kappa4673.png

(a) Temperature-dependent lattice thermal conductivity

../../_images/fig_times11031.png

(b) Computation time