mp-616196-2/OsC3I2O3/harm

Equation of state

../../_images/fig_bm3160.png

(a) Equation of state

Harmonic properties

../../_images/fig_bandos_pr6018.png

(a) Phonon dispersion with participation ratio and DOS

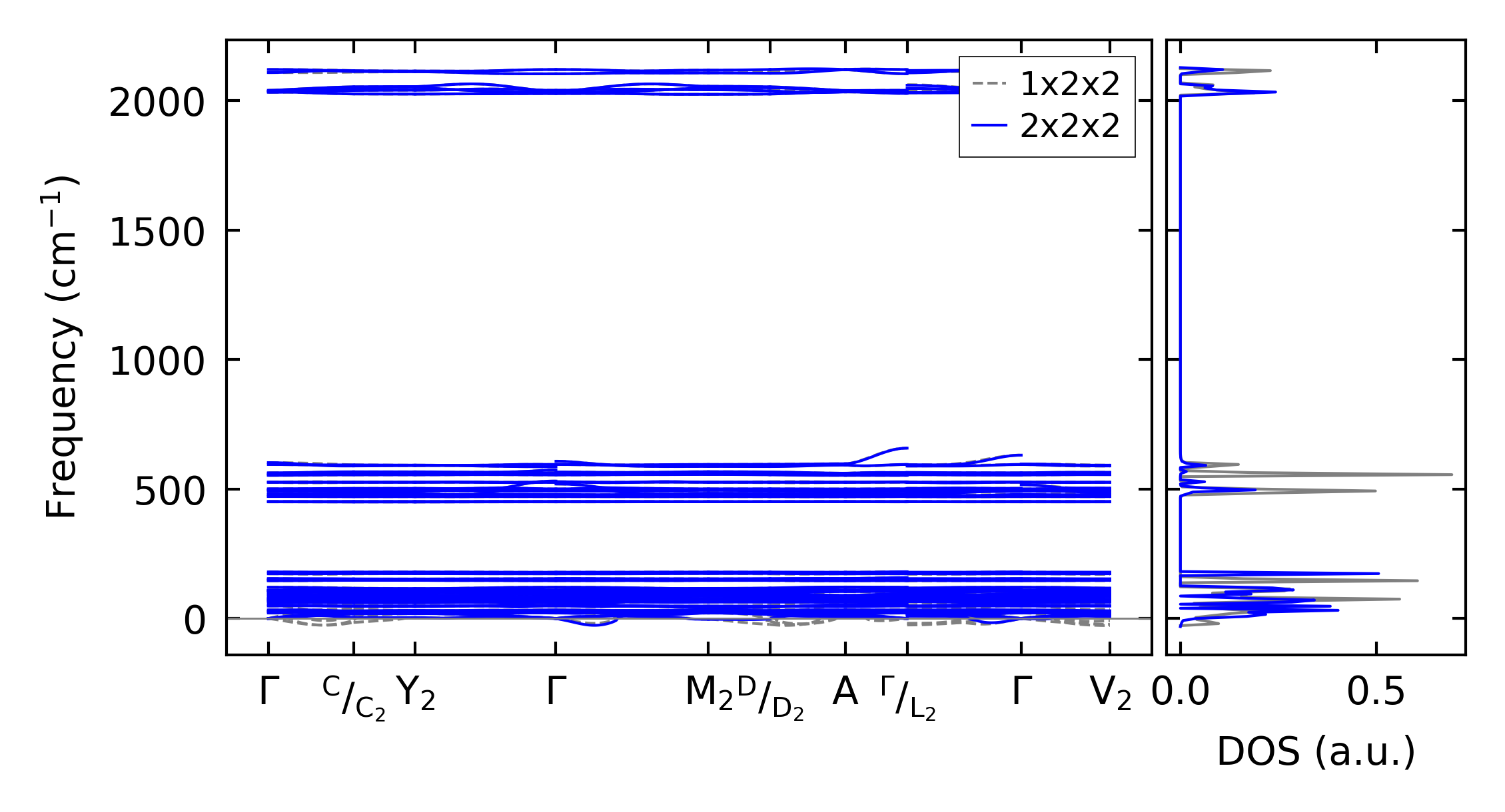
../../_images/fig_bandos8857.png

(b) Phonon dispersion and DOS

../../_images/fig_thermo6018.png

(c) Thermodynamic properties

Force constants

../../_images/fig_fc25809.png

(a) Force constants w.r.t atomic distance

Summary

../../_images/fig_times11022.png

(a) Computation time