mp-616555/MnC4NO5/harm

Harmonic properties

../../_images/fig_bandos_pr6030.png

(a) Phonon dispersion with participation ratio and DOS

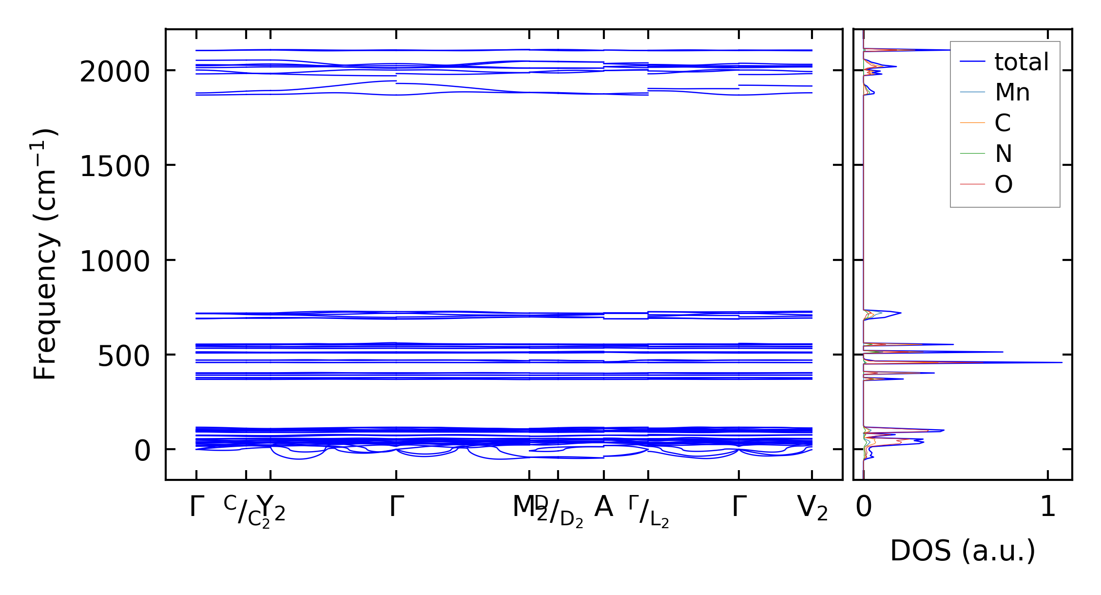
../../_images/fig_bandos8877.png

(b) Phonon dispersion and DOS

../../_images/fig_thermo6030.png

(c) Thermodynamic properties

Force constants

../../_images/fig_fc25821.png

(a) Force constants w.r.t atomic distance

Summary

../../_images/fig_times11046.png

(a) Computation time