mp-616440/C/anharm

Harmonic properties

../../_images/fig_bandos_pr6024.png

(a) Phonon dispersion with participation ratio and DOS

../../_images/fig_thermo6024.png

(b) Thermodynamic properties

Grüneisen parameters

../../_images/fig_gru_all2454.png

(a) Grüneisen parameters

../../_images/fig_gruneisen2454.png

(b) Phonon dispersion with Grüneisen parameters

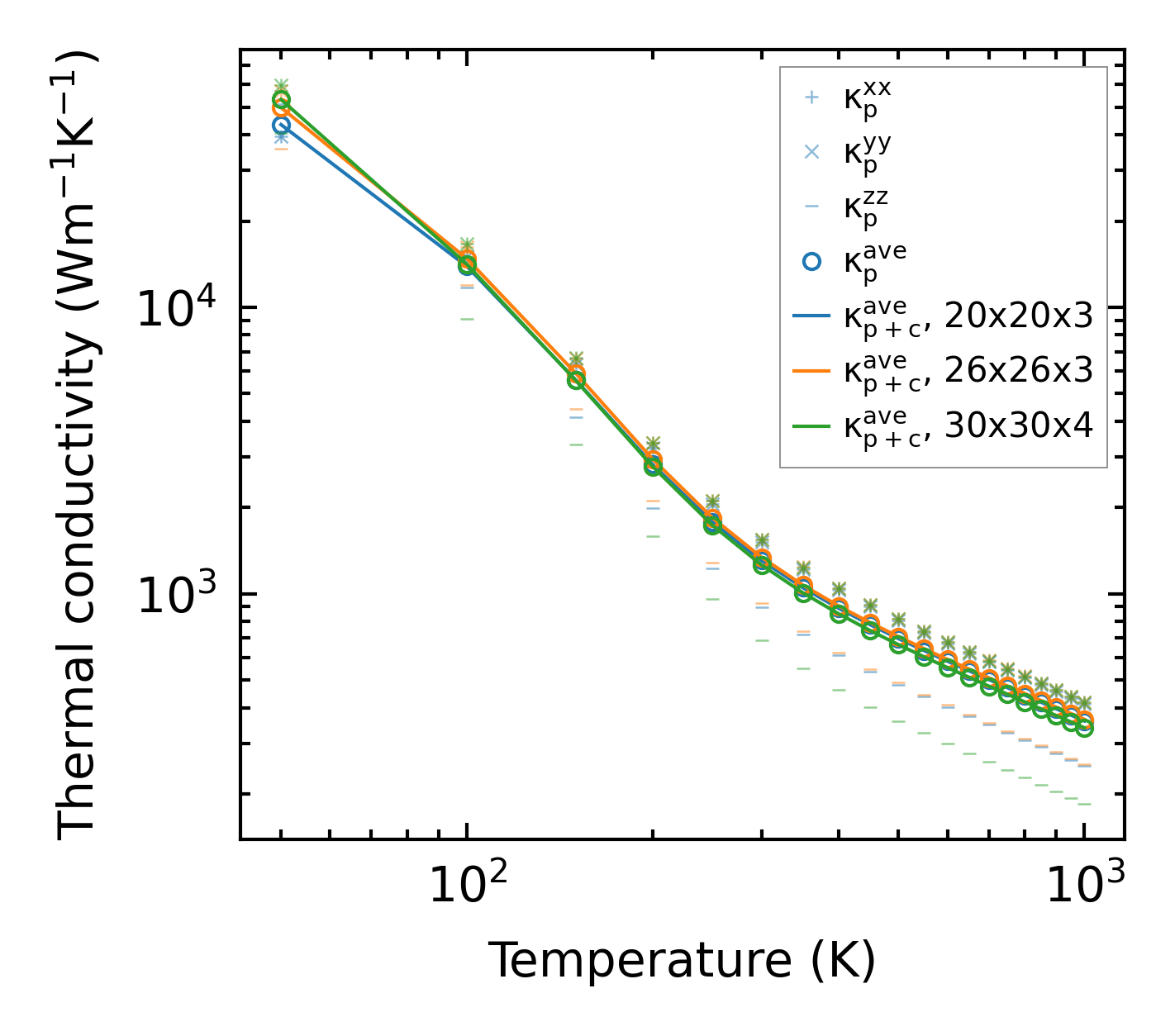
Thermal conductivity

3-phonon (LASSO) — q-mesh: 30x30x4, supercell: 3x3x1

../../_images/fig_kappa4674.png

(a) Temperature-dependent lattice thermal conductivity

../../_images/fig_kappa_vs_grain_size2485.png

(b) Peierls lattice thermal conductivity w.r.t grain size

Phonon lifetime and scattering rates

../../_images/fig_lifetime2437.png

(a) Phonon lifetime due to phonon-phonon scattering

../../_images/fig_scat_rates2436.png

(b) Phonon scattering rates

Cumulative and spectral thermal conductivity

../../_images/fig_cumu_frequency2437.png

(a) Spectral and cumulative thermal conductivity w.r.t frequency

../../_images/fig_cumu_mfp2436.png

(b) Spectral and cumulative thermal conductivity w.r.t MFP

Force constants

../../_images/fig_fc25815.png

(a) Force constants w.r.t atomic distance

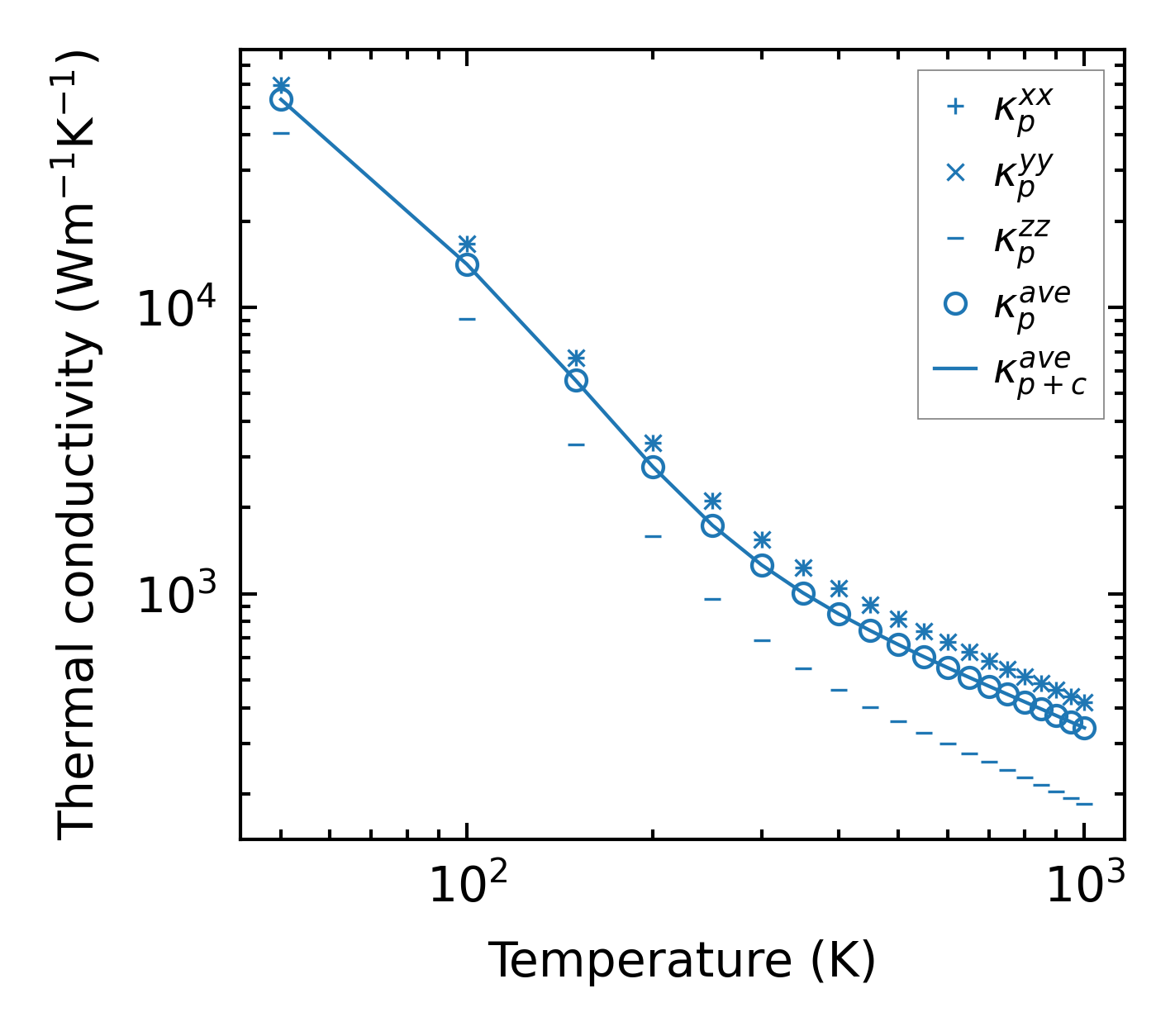
Summary

../../_images/fig_kappa4675.png

(a) Temperature-dependent lattice thermal conductivity

../../_images/fig_times11035.png

(b) Computation time