mp-616026/Sr3InP3/anharm

Harmonic properties

../../_images/fig_bandos_pr6013.png

(a) Phonon dispersion with participation ratio and DOS

../../_images/fig_thermo6013.png

(b) Thermodynamic properties

Grüneisen parameters

../../_images/fig_gru_all2450.png

(a) Grüneisen parameters

../../_images/fig_gruneisen2450.png

(b) Phonon dispersion with Grüneisen parameters

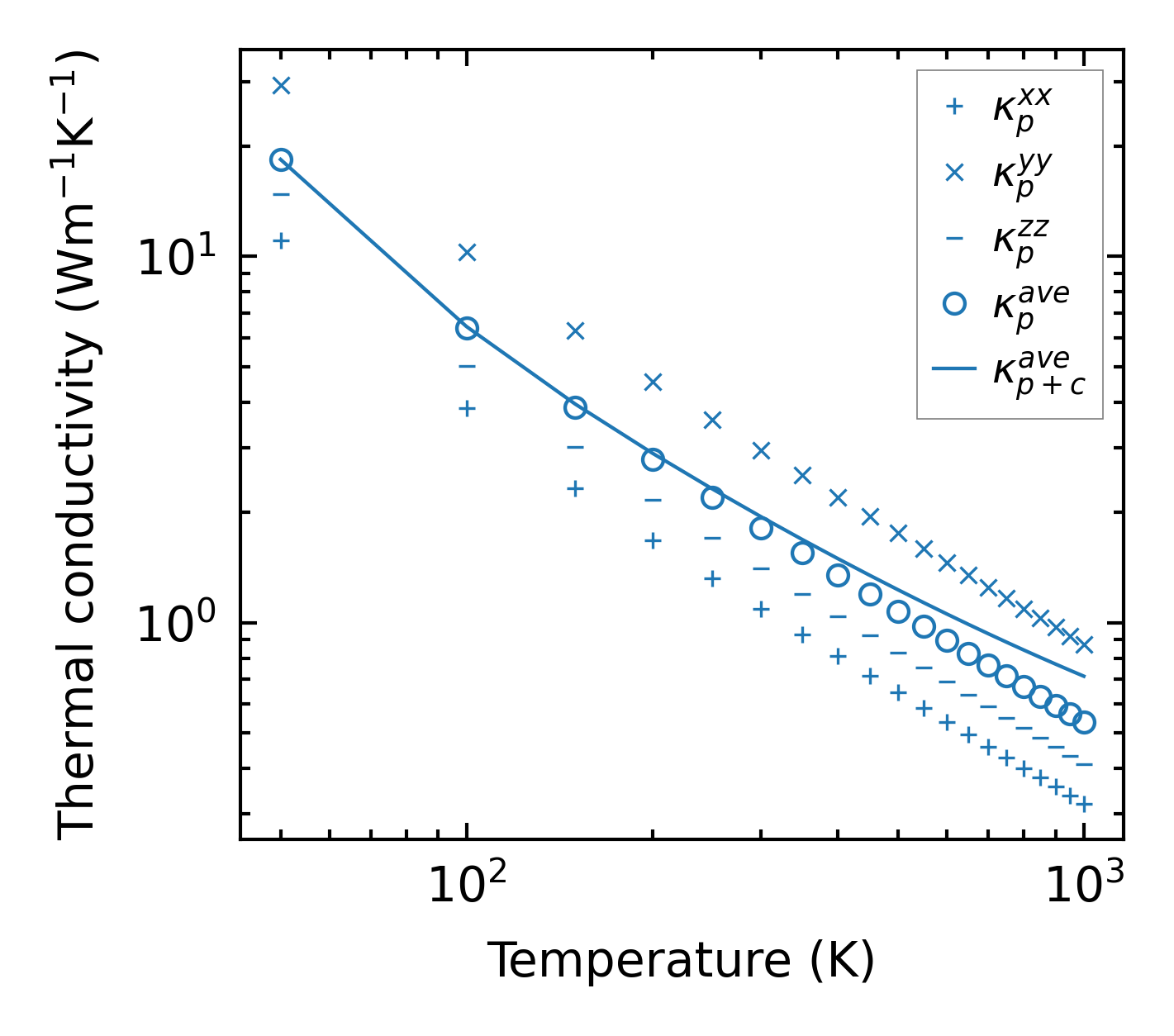
Thermal conductivity

3-phonon (LASSO) — q-mesh: 5x16x5, supercell: 1x3x1

../../_images/fig_kappa4666.png

(a) Temperature-dependent lattice thermal conductivity

../../_images/fig_kappa_vs_grain_size2481.png

(b) Peierls lattice thermal conductivity w.r.t grain size

Phonon lifetime and scattering rates

../../_images/fig_lifetime2433.png

(a) Phonon lifetime due to phonon-phonon scattering

../../_images/fig_scat_rates2432.png

(b) Phonon scattering rates

Cumulative and spectral thermal conductivity

../../_images/fig_cumu_frequency2433.png

(a) Spectral and cumulative thermal conductivity w.r.t frequency

../../_images/fig_cumu_mfp2432.png

(b) Spectral and cumulative thermal conductivity w.r.t MFP

Force constants

../../_images/fig_fc25804.png

(a) Force constants w.r.t atomic distance

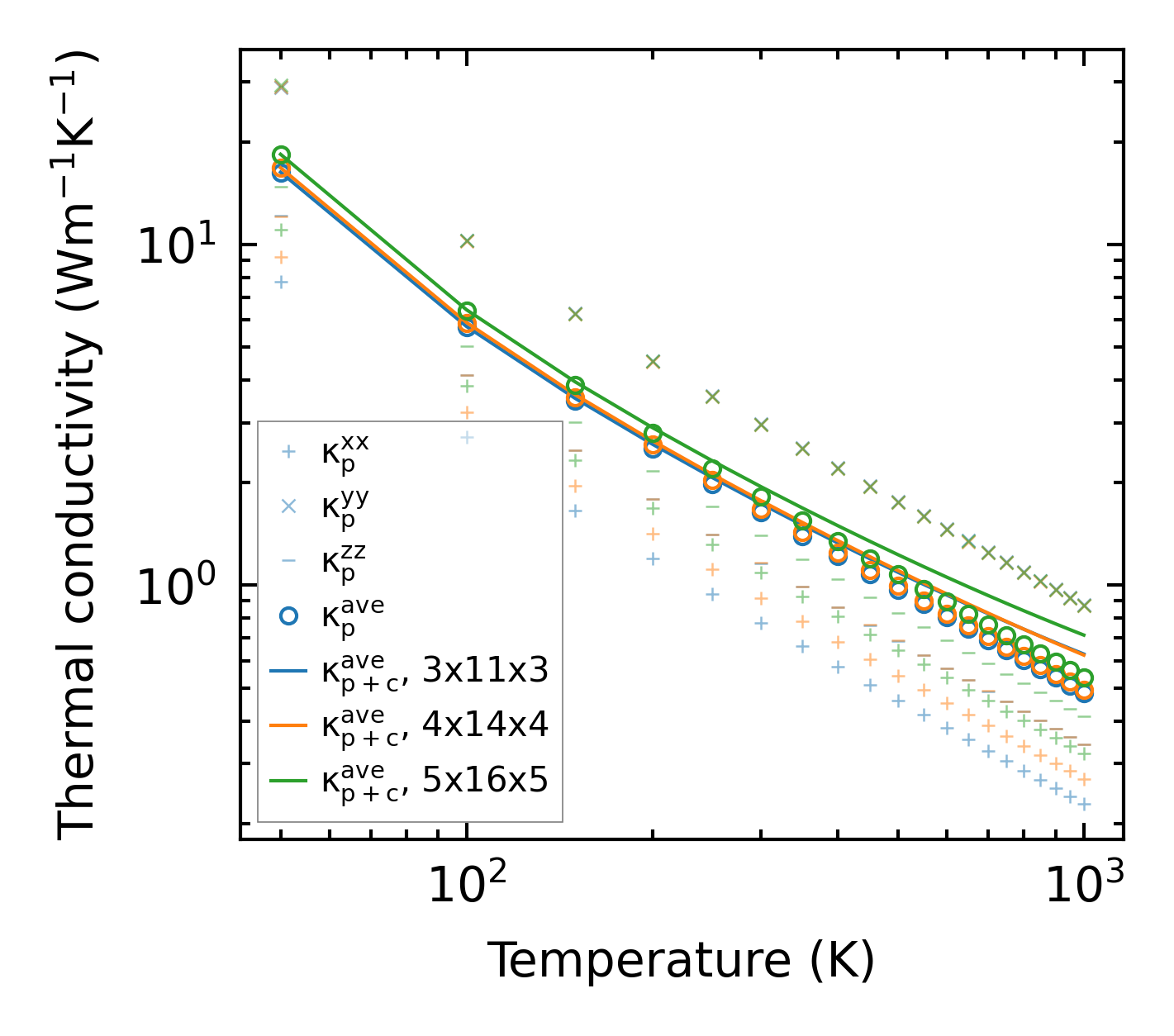
Summary

../../_images/fig_kappa4667.png

(a) Temperature-dependent lattice thermal conductivity

../../_images/fig_times11015.png

(b) Computation time