mp-582753/Tl2Te/anharm

Equation of state

../../_images/fig_bm3453.png

(a) Equation of state

Harmonic properties

../../_images/fig_bandos_pr6505.png

(a) Phonon dispersion with participation ratio and DOS

../../_images/fig_thermo6505.png

(b) Thermodynamic properties

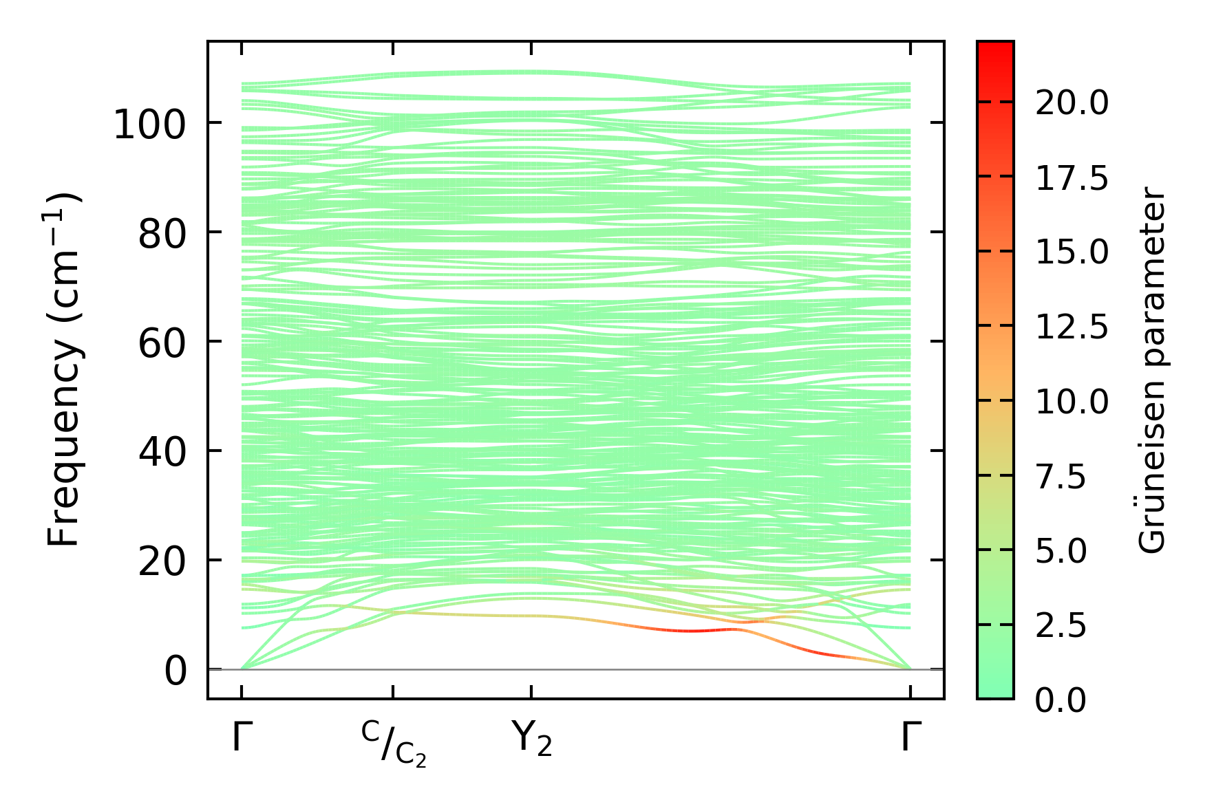
Grüneisen parameters

../../_images/fig_gru_all2662.png

(a) Grüneisen parameters

../../_images/fig_gruneisen2662.png

(b) Phonon dispersion with Grüneisen parameters

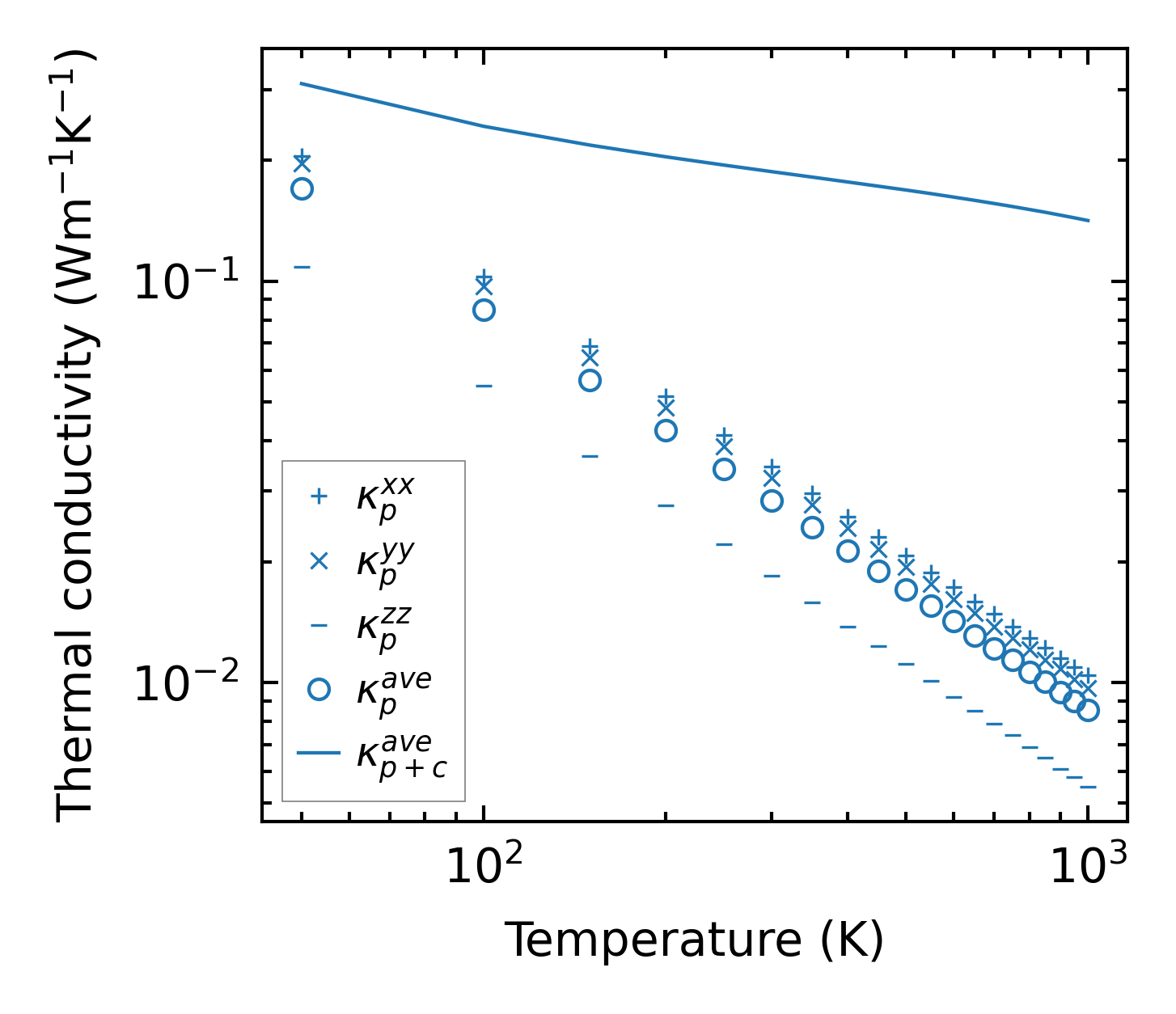
Thermal conductivity

3-phonon (LASSO) — q-mesh: 8x8x2, supercell: 1x1x1

../../_images/fig_kappa5060.png

(a) Temperature-dependent lattice thermal conductivity

../../_images/fig_kappa_vs_grain_size2698.png

(b) Peierls lattice thermal conductivity w.r.t grain size

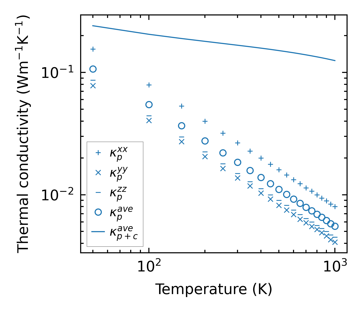
3-phonon (LASSO), supercell 1x2x1 — q-mesh: 8x8x2, supercell: 1x2x1

../../_images/fig_kappa5061.png

(a) Temperature-dependent lattice thermal conductivity

../../_images/fig_kappa_vs_grain_size2699.png

(b) Peierls lattice thermal conductivity w.r.t grain size

Phonon lifetime and scattering rates

../../_images/fig_lifetime2638.png

(a) Phonon lifetime due to phonon-phonon scattering

../../_images/fig_scat_rates2637.png

(b) Phonon scattering rates

Cumulative and spectral thermal conductivity

../../_images/fig_cumu_frequency2638.png

(a) Spectral and cumulative thermal conductivity w.r.t frequency

../../_images/fig_cumu_mfp2637.png

(b) Spectral and cumulative thermal conductivity w.r.t MFP

Force constants

../../_images/fig_fc26295.png

(a) Force constants w.r.t atomic distance

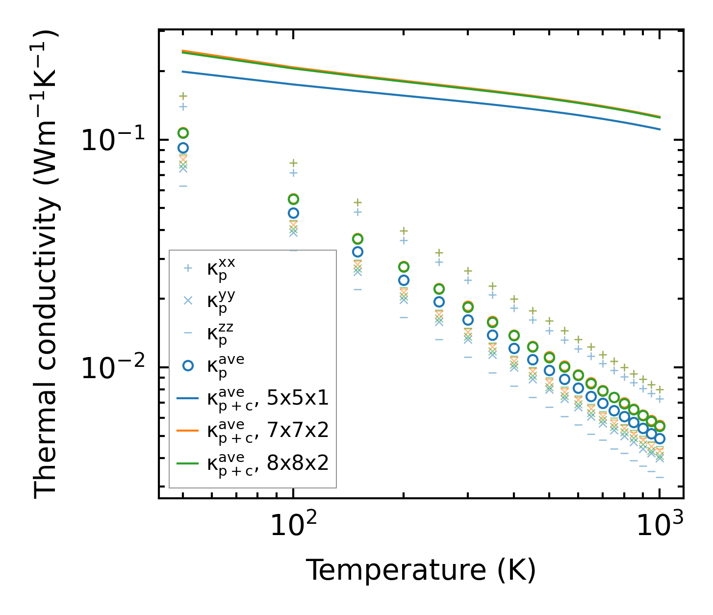
Summary

../../_images/fig_kappa5062.png

(a) Temperature-dependent lattice thermal conductivity

../../_images/fig_times11699.png

(b) Computation time