mp-582753-2/Tl2Te/anharm

Harmonic properties

../../_images/fig_bandos_pr6506.png

(a) Phonon dispersion with participation ratio and DOS

../../_images/fig_thermo6506.png

(b) Thermodynamic properties

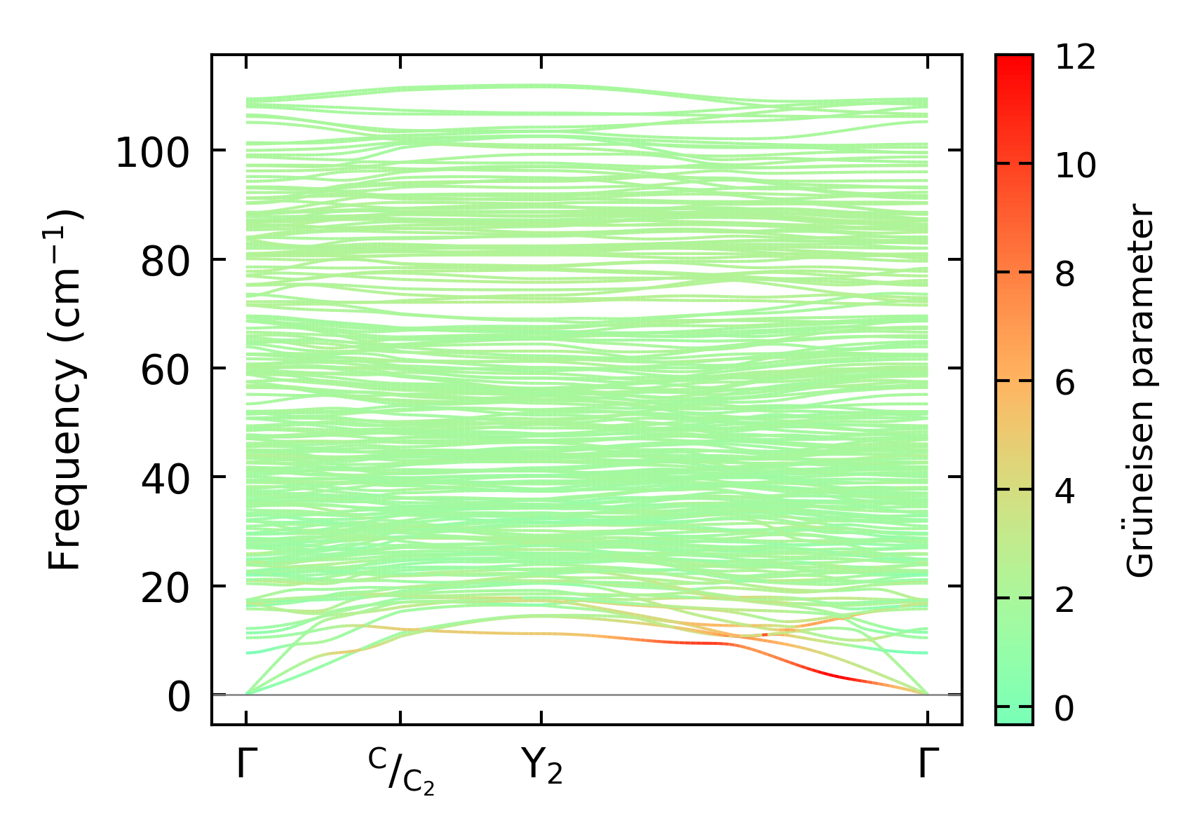
Grüneisen parameters

../../_images/fig_gru_all2663.png

(a) Grüneisen parameters

../../_images/fig_gruneisen2663.png

(b) Phonon dispersion with Grüneisen parameters

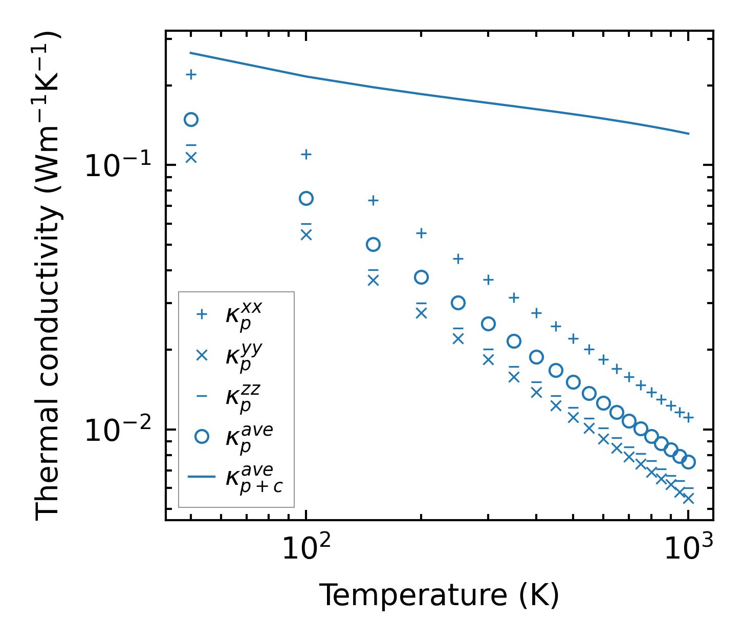
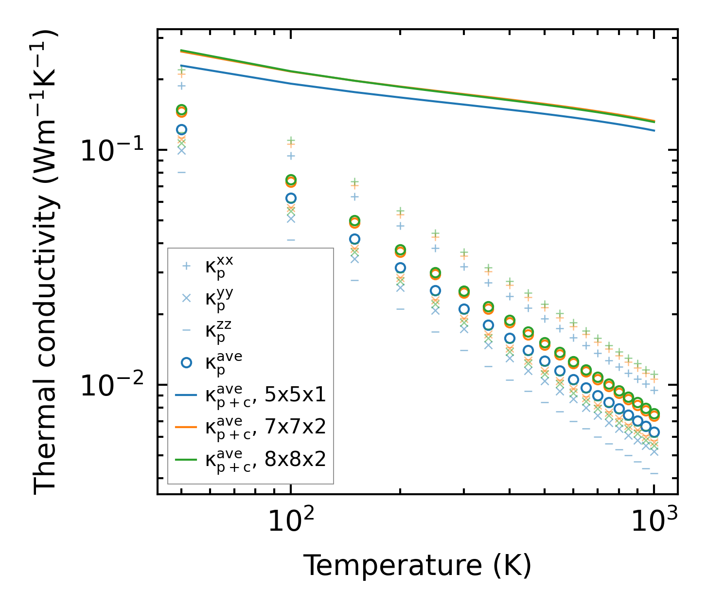
Thermal conductivity

3-phonon (LASSO) — q-mesh: 8x8x2, supercell: 1x1x1

../../_images/fig_kappa5063.png

(a) Temperature-dependent lattice thermal conductivity

../../_images/fig_kappa_vs_grain_size2700.png

(b) Peierls lattice thermal conductivity w.r.t grain size

Phonon lifetime and scattering rates

../../_images/fig_lifetime2639.png

(a) Phonon lifetime due to phonon-phonon scattering

../../_images/fig_scat_rates2638.png

(b) Phonon scattering rates

Cumulative and spectral thermal conductivity

../../_images/fig_cumu_frequency2639.png

(a) Spectral and cumulative thermal conductivity w.r.t frequency

../../_images/fig_cumu_mfp2638.png

(b) Spectral and cumulative thermal conductivity w.r.t MFP

Force constants

../../_images/fig_fc26296.png

(a) Force constants w.r.t atomic distance

Summary

../../_images/fig_kappa5064.png

(a) Temperature-dependent lattice thermal conductivity

../../_images/fig_times11700.png

(b) Computation time