mp-582708-2/Cs3GeAsSe5/anharm

Equation of state

../../_images/fig_bm3451.png

(a) Equation of state

Harmonic properties

../../_images/fig_bandos_pr6503.png

(a) Phonon dispersion with participation ratio and DOS

../../_images/fig_thermo6503.png

(b) Thermodynamic properties

Grüneisen parameters

../../_images/fig_gru_all2660.png

(a) Grüneisen parameters

../../_images/fig_gruneisen2660.png

(b) Phonon dispersion with Grüneisen parameters

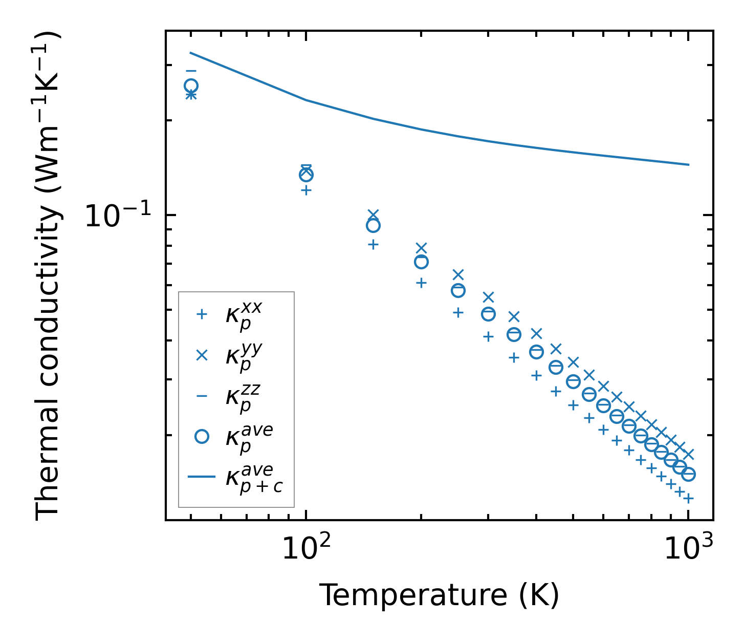
Thermal conductivity

3-phonon (LASSO) — q-mesh: 9x7x3, supercell: 2x1x1

../../_images/fig_kappa5056.png

(a) Temperature-dependent lattice thermal conductivity

../../_images/fig_kappa_vs_grain_size2696.png

(b) Peierls lattice thermal conductivity w.r.t grain size

Phonon lifetime and scattering rates

../../_images/fig_lifetime2636.png

(a) Phonon lifetime due to phonon-phonon scattering

../../_images/fig_scat_rates2635.png

(b) Phonon scattering rates

Cumulative and spectral thermal conductivity

../../_images/fig_cumu_frequency2636.png

(a) Spectral and cumulative thermal conductivity w.r.t frequency

../../_images/fig_cumu_mfp2635.png

(b) Spectral and cumulative thermal conductivity w.r.t MFP

Force constants

../../_images/fig_fc26293.png

(a) Force constants w.r.t atomic distance

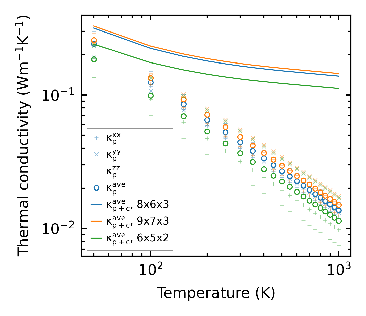
Summary

../../_images/fig_kappa5057.png

(a) Temperature-dependent lattice thermal conductivity

../../_images/fig_times11696.png

(b) Computation time