mp-582080/Cs3LaCl6/harm

Harmonic properties

../../_images/fig_bandos_pr6492.png

(a) Phonon dispersion with participation ratio and DOS

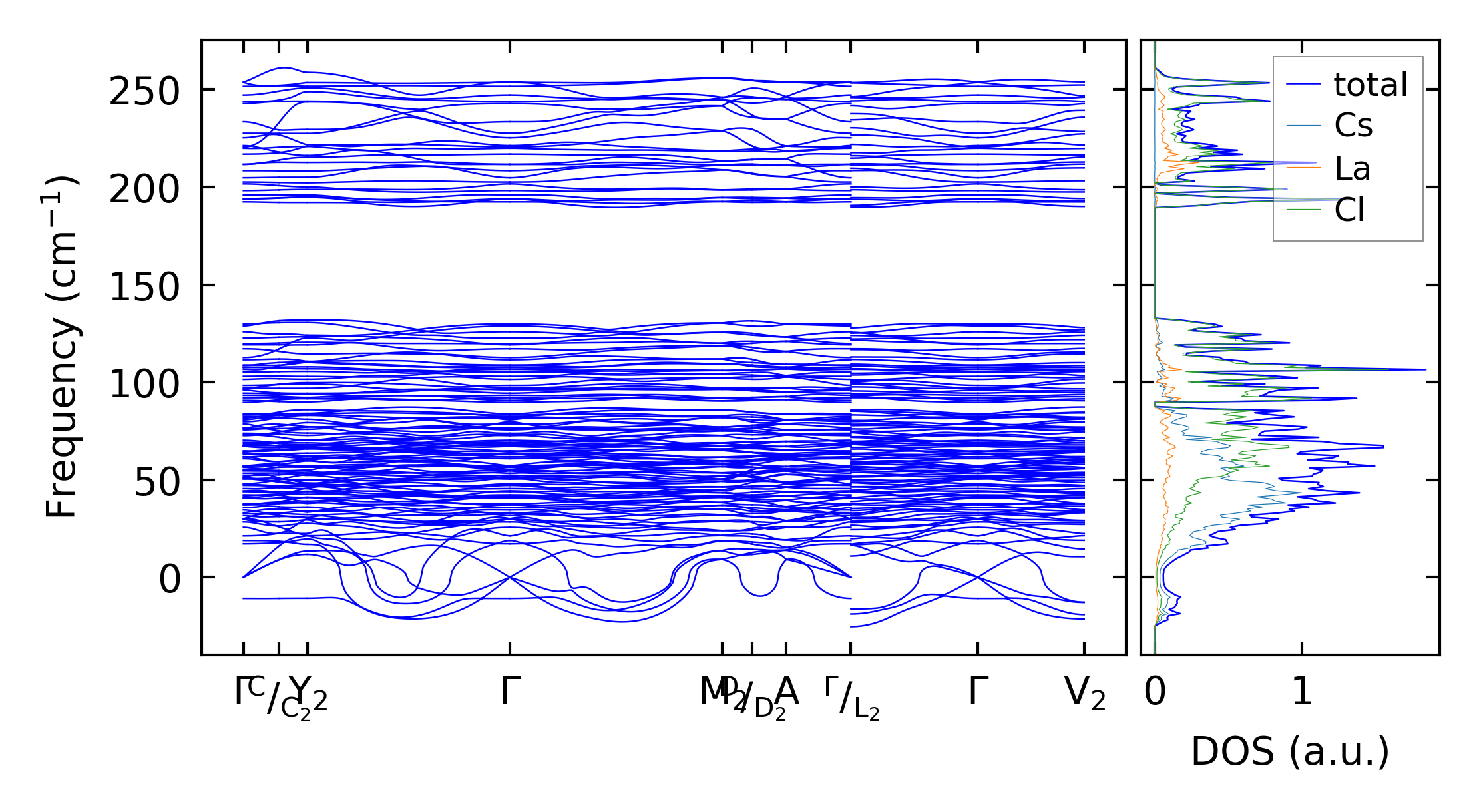
../../_images/fig_bandos9349.png

(b) Phonon dispersion and DOS

../../_images/fig_thermo6492.png

(c) Thermodynamic properties

Force constants

../../_images/fig_fc26282.png

(a) Force constants w.r.t atomic distance

Summary

../../_images/fig_times11675.png

(a) Computation time