mp-582161/K3Ta2Ag3Se8/anharm

Harmonic properties

../../_images/fig_bandos_pr6498.png

(a) Phonon dispersion with participation ratio and DOS

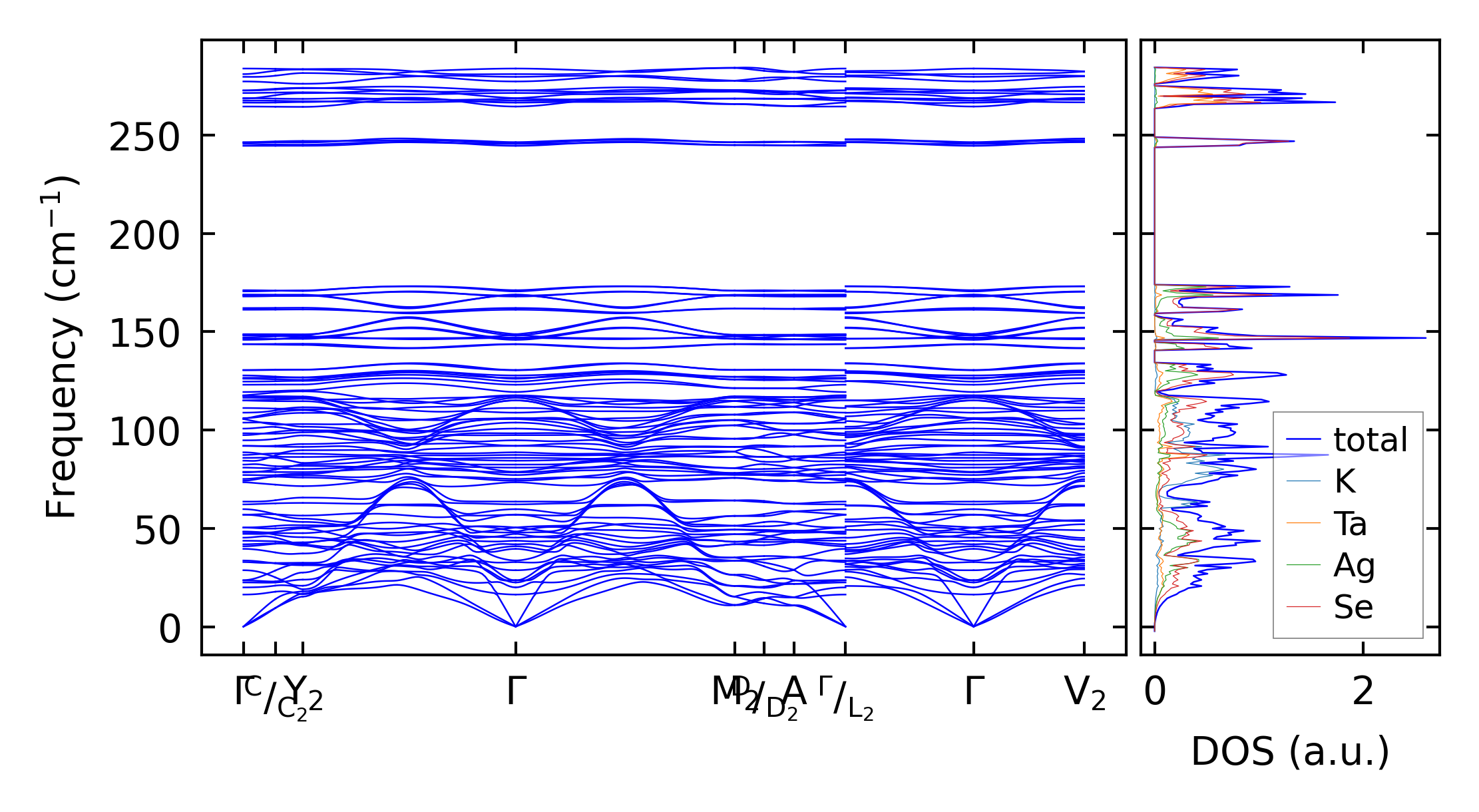
../../_images/fig_bandos9354.png

(b) Phonon dispersion and DOS

../../_images/fig_thermo6498.png

(c) Thermodynamic properties

Grüneisen parameters

../../_images/fig_gru_all2655.png

(a) Grüneisen parameters

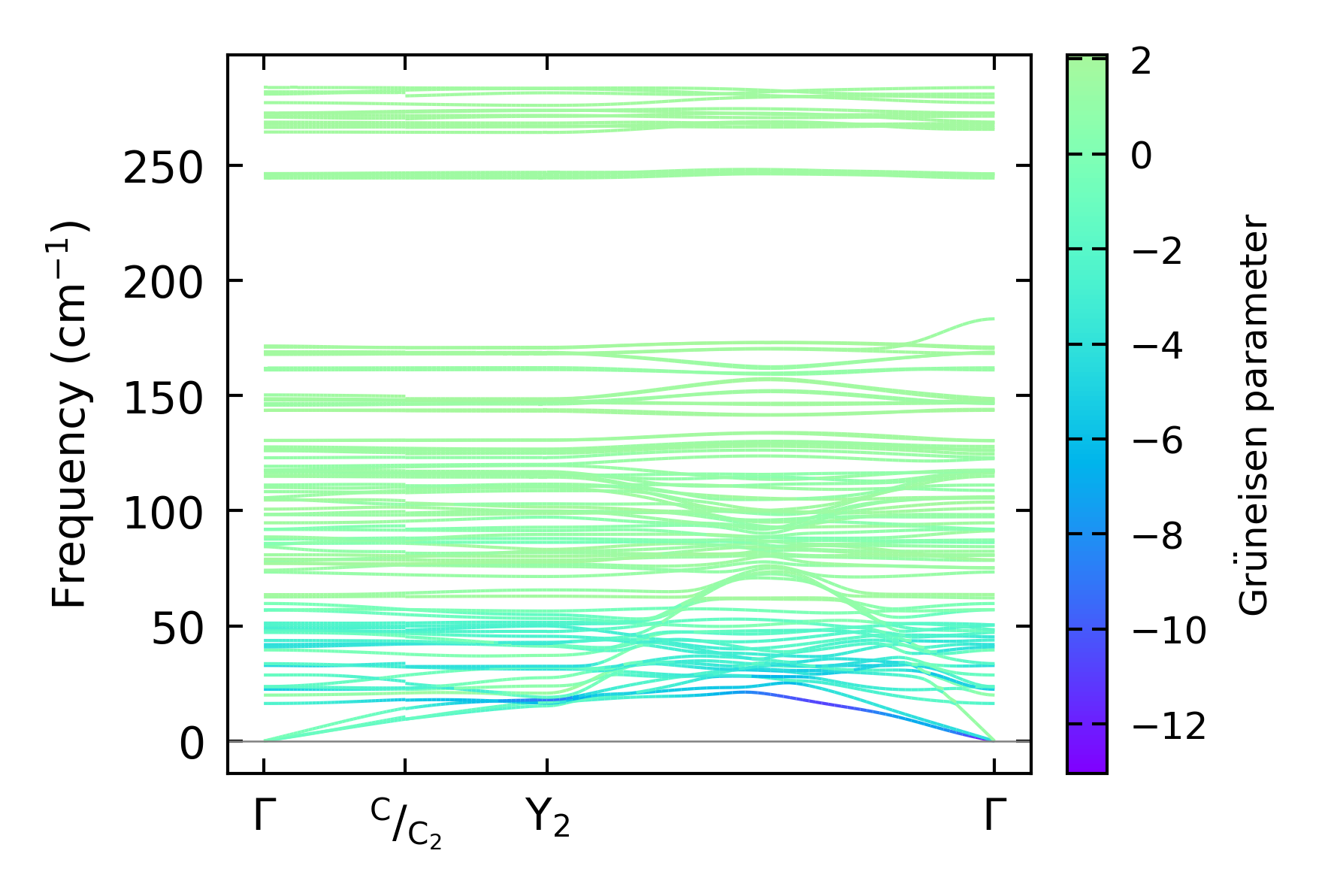
../../_images/fig_gruneisen2655.png

(b) Phonon dispersion with Grüneisen parameters

Thermal conductivity

Force constants

../../_images/fig_fc26288.png

(a) Force constants w.r.t atomic distance

Summary

../../_images/fig_times11684.png

(a) Computation time