mp-582161-2/K3Ta2Ag3Se8/anharm

Equation of state

../../_images/fig_bm3447.png

(a) Equation of state

Harmonic properties

../../_images/fig_bandos_pr6499.png

(a) Phonon dispersion with participation ratio and DOS

../../_images/fig_thermo6499.png

(b) Thermodynamic properties

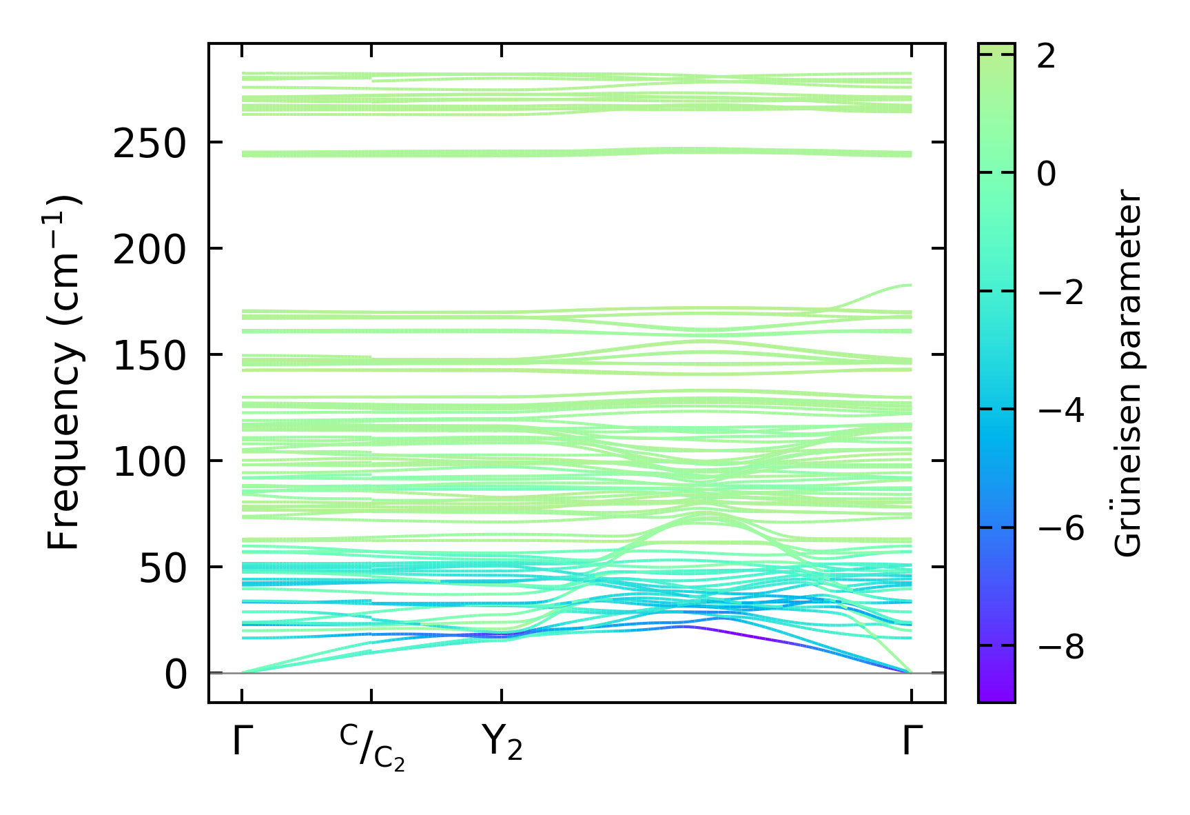
Grüneisen parameters

../../_images/fig_gru_all2656.png

(a) Grüneisen parameters

../../_images/fig_gruneisen2656.png

(b) Phonon dispersion with Grüneisen parameters

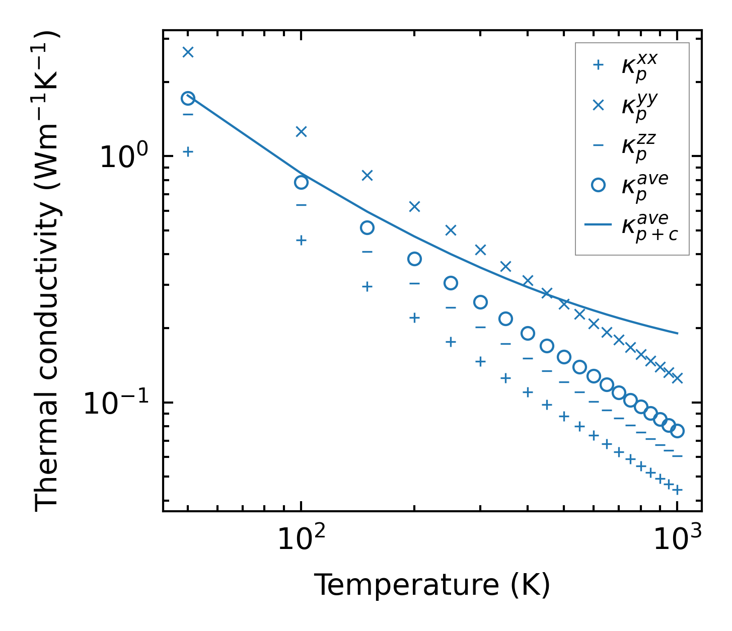
Thermal conductivity

3-phonon (LASSO) — q-mesh: 7x7x6, supercell: 1x2x1

../../_images/fig_kappa5047.png

(a) Temperature-dependent lattice thermal conductivity

../../_images/fig_kappa_vs_grain_size2691.png

(b) Peierls lattice thermal conductivity w.r.t grain size

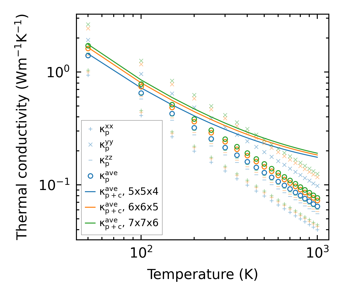
3-phonon (LASSO), supercell 1x3x1 — q-mesh: 7x7x6, supercell: 1x3x1

../../_images/fig_kappa5048.png

(a) Temperature-dependent lattice thermal conductivity

../../_images/fig_kappa_vs_grain_size2692.png

(b) Peierls lattice thermal conductivity w.r.t grain size

Phonon lifetime and scattering rates

../../_images/fig_lifetime2632.png

(a) Phonon lifetime due to phonon-phonon scattering

../../_images/fig_scat_rates2631.png

(b) Phonon scattering rates

Cumulative and spectral thermal conductivity

../../_images/fig_cumu_frequency2632.png

(a) Spectral and cumulative thermal conductivity w.r.t frequency

../../_images/fig_cumu_mfp2631.png

(b) Spectral and cumulative thermal conductivity w.r.t MFP

Force constants

../../_images/fig_fc26289.png

(a) Force constants w.r.t atomic distance

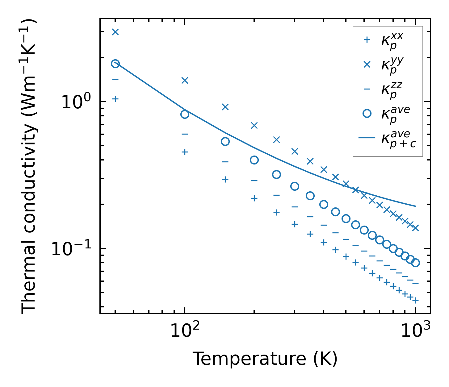
Summary

../../_images/fig_kappa5049.png

(a) Temperature-dependent lattice thermal conductivity

../../_images/fig_times11685.png

(b) Computation time