mp-582723-2/Cs3AlAs2/anharm

Equation of state

../../_images/fig_bm3452.png

(a) Equation of state

Harmonic properties

../../_images/fig_bandos_pr6504.png

(a) Phonon dispersion with participation ratio and DOS

../../_images/fig_thermo6504.png

(b) Thermodynamic properties

Grüneisen parameters

../../_images/fig_gru_all2661.png

(a) Grüneisen parameters

../../_images/fig_gruneisen2661.png

(b) Phonon dispersion with Grüneisen parameters

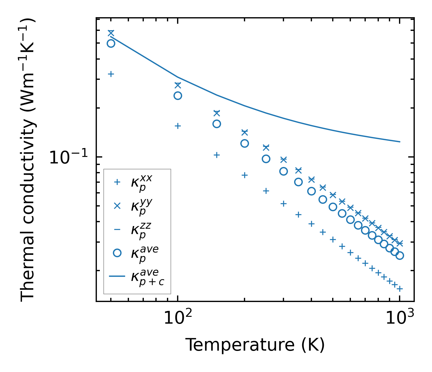
Thermal conductivity

3-phonon (LASSO) — q-mesh: 6x8x3, supercell: 1x2x1

../../_images/fig_kappa5058.png

(a) Temperature-dependent lattice thermal conductivity

../../_images/fig_kappa_vs_grain_size2697.png

(b) Peierls lattice thermal conductivity w.r.t grain size

Phonon lifetime and scattering rates

../../_images/fig_lifetime2637.png

(a) Phonon lifetime due to phonon-phonon scattering

../../_images/fig_scat_rates2636.png

(b) Phonon scattering rates

Cumulative and spectral thermal conductivity

../../_images/fig_cumu_frequency2637.png

(a) Spectral and cumulative thermal conductivity w.r.t frequency

../../_images/fig_cumu_mfp2636.png

(b) Spectral and cumulative thermal conductivity w.r.t MFP

Force constants

../../_images/fig_fc26294.png

(a) Force constants w.r.t atomic distance

Summary

../../_images/fig_kappa5059.png

(a) Temperature-dependent lattice thermal conductivity

../../_images/fig_times11698.png

(b) Computation time