mp-553991-2/TiGa4O8/anharm

Equation of state

../../_images/fig_bm4641.png

(a) Equation of state

Harmonic properties

../../_images/fig_bandos_pr9234.png

(a) Phonon dispersion with participation ratio and DOS

../../_images/fig_bandos12950.png

(b) Phonon dispersion and DOS

../../_images/fig_thermo9234.png

(c) Thermodynamic properties

Grüneisen parameters

../../_images/fig_gru_all3680.png

(a) Grüneisen parameters

../../_images/fig_gruneisen3680.png

(b) Phonon dispersion with Grüneisen parameters

Thermal conductivity

3-phonon (LASSO), supercell 1x4x2 — q-mesh: 15x15x10, supercell: 1x4x2

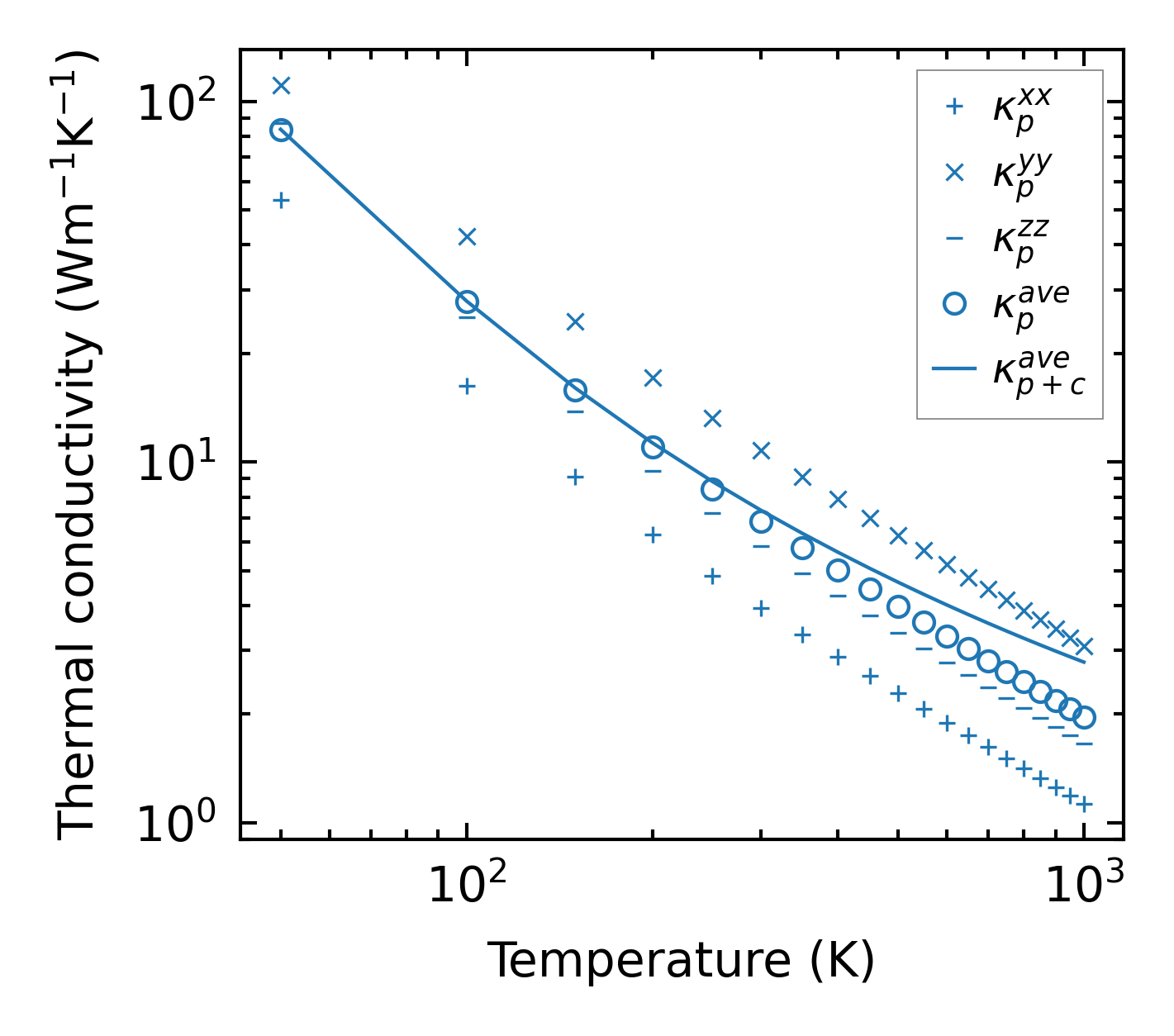
../../_images/fig_kappa6954.png

(a) Temperature-dependent lattice thermal conductivity

../../_images/fig_kappa_vs_grain_size3729.png

(b) Peierls lattice thermal conductivity w.r.t grain size

Phonon lifetime and scattering rates

../../_images/fig_lifetime3646.png

(a) Phonon lifetime due to phonon-phonon scattering

../../_images/fig_scat_rates3645.png

(b) Phonon scattering rates

Cumulative and spectral thermal conductivity

../../_images/fig_cumu_frequency3646.png

(a) Spectral and cumulative thermal conductivity w.r.t frequency

../../_images/fig_cumu_mfp3645.png

(b) Spectral and cumulative thermal conductivity w.r.t MFP

Force constants

../../_images/fig_fc28996.png

(a) Force constants w.r.t atomic distance

Summary

../../_images/fig_times16101.png

(a) Computation time