mp-553874/Ba2LaAg5S6/anharm

Harmonic properties

../../_images/fig_bandos_pr9199.png

(a) Phonon dispersion with participation ratio and DOS

../../_images/fig_thermo9199.png

(b) Thermodynamic properties

Grüneisen parameters

../../_images/fig_gru_all3670.png

(a) Grüneisen parameters

../../_images/fig_gruneisen3670.png

(b) Phonon dispersion with Grüneisen parameters

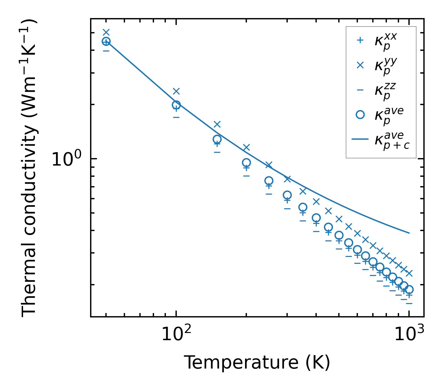
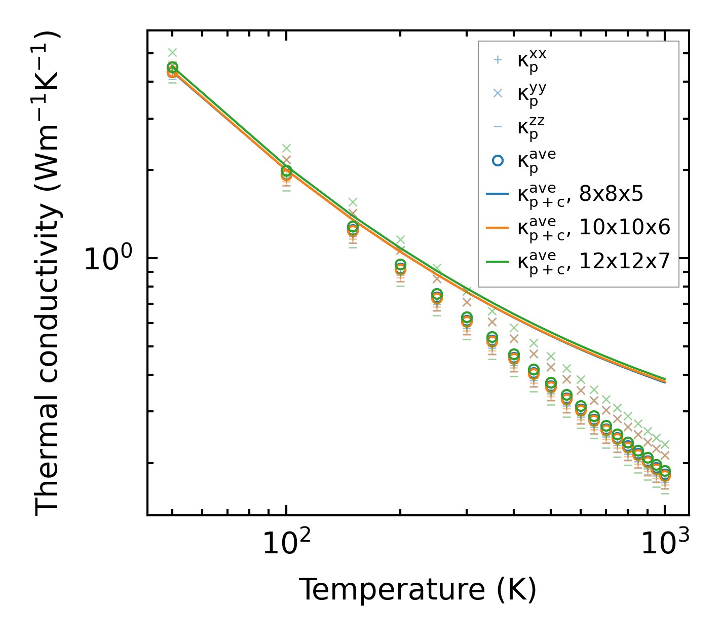
Thermal conductivity

3-phonon (LASSO) — q-mesh: 12x12x7, supercell: 1x3x1

../../_images/fig_kappa6935.png

(a) Temperature-dependent lattice thermal conductivity

../../_images/fig_kappa_vs_grain_size3718.png

(b) Peierls lattice thermal conductivity w.r.t grain size

Phonon lifetime and scattering rates

../../_images/fig_lifetime3636.png

(a) Phonon lifetime due to phonon-phonon scattering

../../_images/fig_scat_rates3635.png

(b) Phonon scattering rates

Cumulative and spectral thermal conductivity

../../_images/fig_cumu_frequency3636.png

(a) Spectral and cumulative thermal conductivity w.r.t frequency

../../_images/fig_cumu_mfp3635.png

(b) Spectral and cumulative thermal conductivity w.r.t MFP

Force constants

../../_images/fig_fc28961.png

(a) Force constants w.r.t atomic distance

Summary

../../_images/fig_kappa6936.png

(a) Temperature-dependent lattice thermal conductivity

../../_images/fig_times16044.png

(b) Computation time