mp-553875-2/Zr2SN2/anharm

Equation of state

../../_images/fig_bm4623.png

(a) Equation of state

Harmonic properties

../../_images/fig_bandos_pr9201.png

(a) Phonon dispersion with participation ratio and DOS

../../_images/fig_thermo9201.png

(b) Thermodynamic properties

Grüneisen parameters

../../_images/fig_gru_all3672.png

(a) Grüneisen parameters

../../_images/fig_gruneisen3672.png

(b) Phonon dispersion with Grüneisen parameters

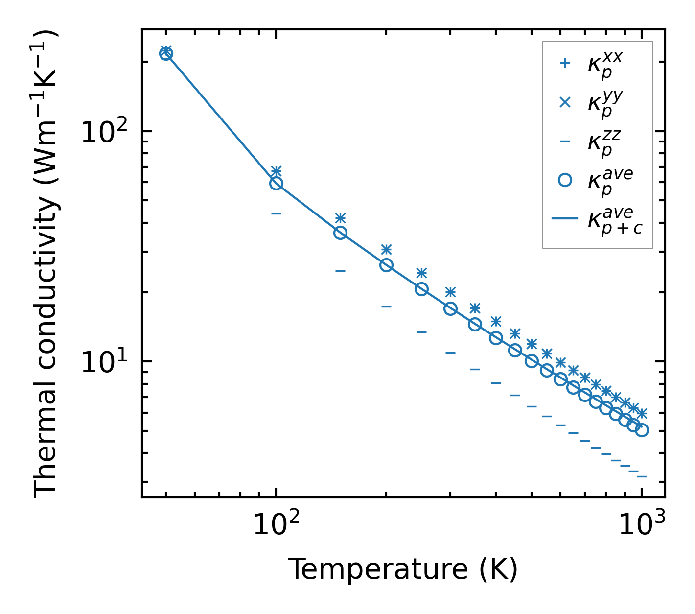
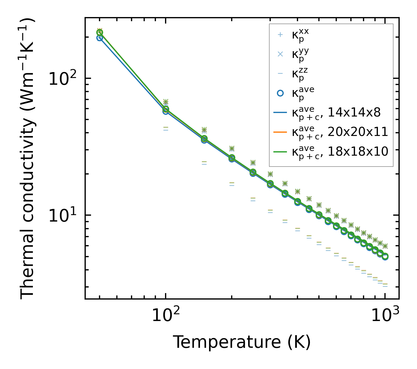
Thermal conductivity

3-phonon (LASSO) — q-mesh: 20x20x11, supercell: 3x3x2

../../_images/fig_kappa6939.png

(a) Temperature-dependent lattice thermal conductivity

../../_images/fig_kappa_vs_grain_size3720.png

(b) Peierls lattice thermal conductivity w.r.t grain size

Phonon lifetime and scattering rates

../../_images/fig_lifetime3638.png

(a) Phonon lifetime due to phonon-phonon scattering

../../_images/fig_scat_rates3637.png

(b) Phonon scattering rates

Cumulative and spectral thermal conductivity

../../_images/fig_cumu_frequency3638.png

(a) Spectral and cumulative thermal conductivity w.r.t frequency

../../_images/fig_cumu_mfp3637.png

(b) Spectral and cumulative thermal conductivity w.r.t MFP

Force constants

../../_images/fig_fc28963.png

(a) Force constants w.r.t atomic distance

Summary

../../_images/fig_kappa6940.png

(a) Temperature-dependent lattice thermal conductivity

../../_images/fig_times16046.png

(b) Computation time