mp-553990/Ba4B2N4O/anharm

Equation of state

../../_images/fig_bm4640.png

(a) Equation of state

Harmonic properties

../../_images/fig_bandos_pr9232.png

(a) Phonon dispersion with participation ratio and DOS

../../_images/fig_thermo9232.png

(b) Thermodynamic properties

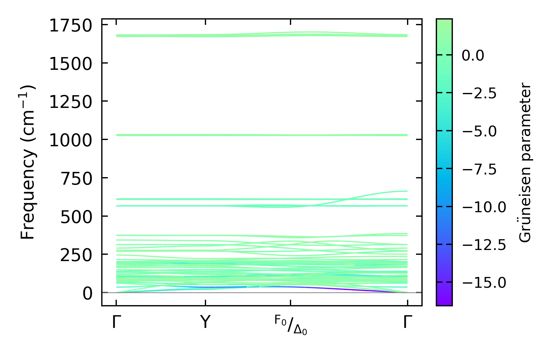
Grüneisen parameters

../../_images/fig_gru_all3679.png

(a) Grüneisen parameters

../../_images/fig_gruneisen3679.png

(b) Phonon dispersion with Grüneisen parameters

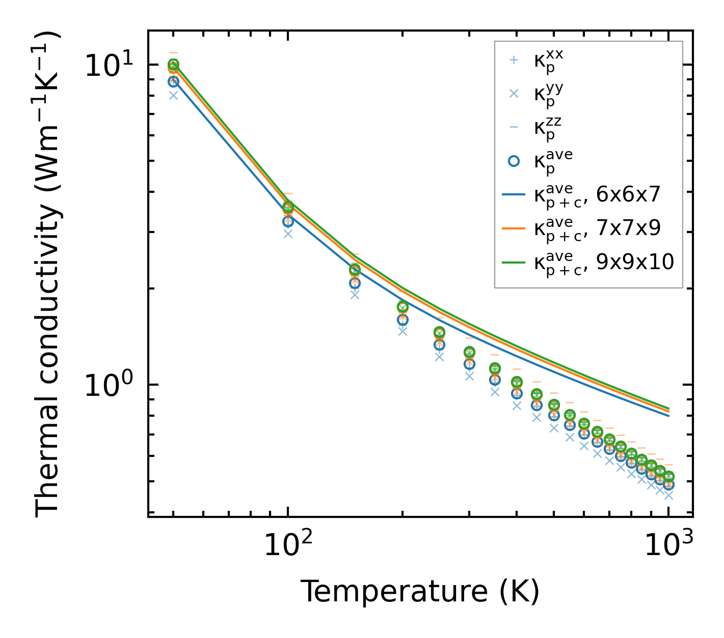
Thermal conductivity

3-phonon (LASSO) — q-mesh: 9x9x10, supercell: 1x2x1

../../_images/fig_kappa6951.png

(a) Temperature-dependent lattice thermal conductivity

../../_images/fig_kappa_vs_grain_size3727.png

(b) Peierls lattice thermal conductivity w.r.t grain size

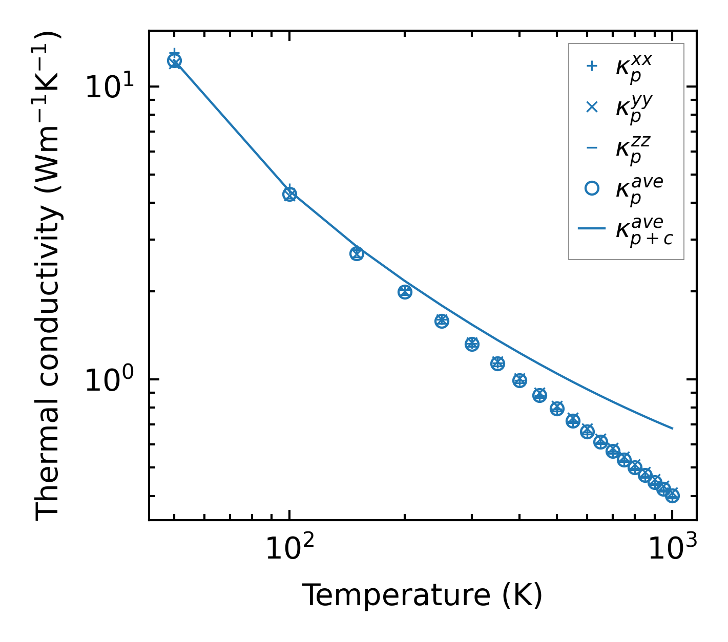
3-phonon (LASSO), supercell 1x2x2 — q-mesh: 9x9x10, supercell: 1x2x2

../../_images/fig_kappa6952.png

(a) Temperature-dependent lattice thermal conductivity

../../_images/fig_kappa_vs_grain_size3728.png

(b) Peierls lattice thermal conductivity w.r.t grain size

Phonon lifetime and scattering rates

../../_images/fig_lifetime3645.png

(a) Phonon lifetime due to phonon-phonon scattering

../../_images/fig_scat_rates3644.png

(b) Phonon scattering rates

Cumulative and spectral thermal conductivity

../../_images/fig_cumu_frequency3645.png

(a) Spectral and cumulative thermal conductivity w.r.t frequency

../../_images/fig_cumu_mfp3644.png

(b) Spectral and cumulative thermal conductivity w.r.t MFP

Force constants

../../_images/fig_fc28994.png

(a) Force constants w.r.t atomic distance

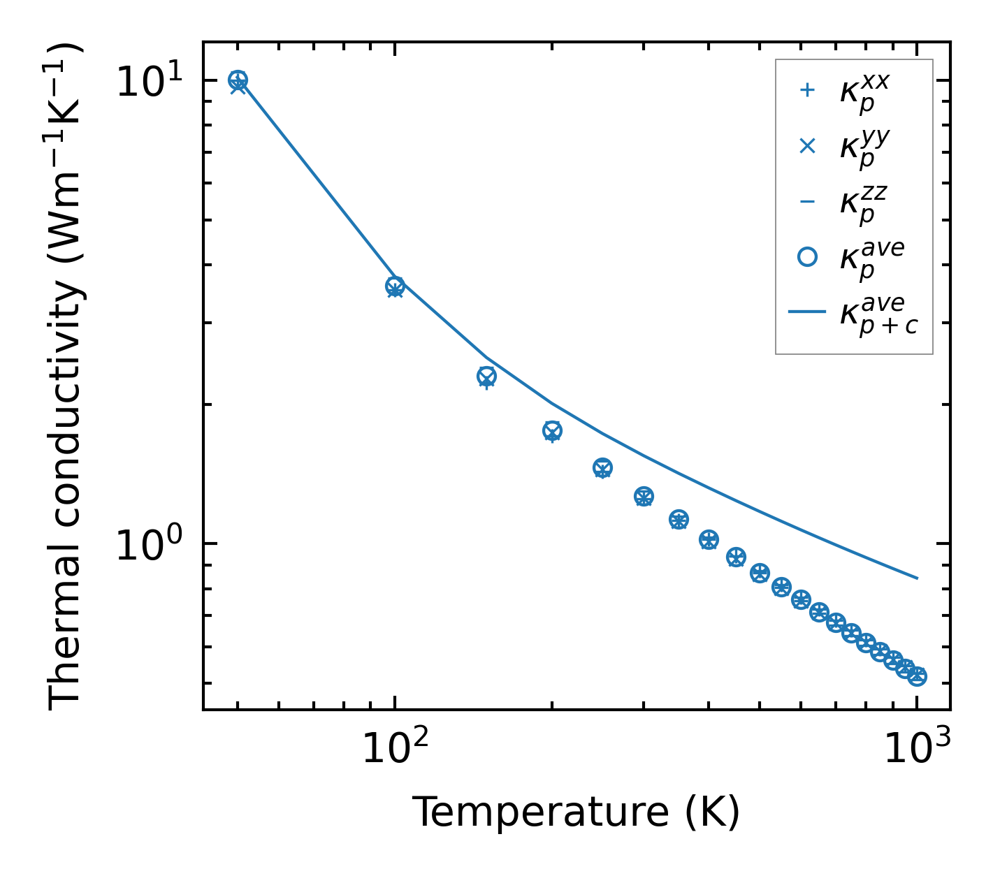
Summary

../../_images/fig_kappa6953.png

(a) Temperature-dependent lattice thermal conductivity

../../_images/fig_times16098.png

(b) Computation time