mp-32959/H2O/anharm

Equation of state

../../_images/fig_bm5310.png

(a) Equation of state

Harmonic properties

../../_images/fig_bandos_pr10798.png

(a) Phonon dispersion with participation ratio and DOS

../../_images/fig_bandos14717.png

(b) Phonon dispersion and DOS

../../_images/fig_thermo10798.png

(c) Thermodynamic properties

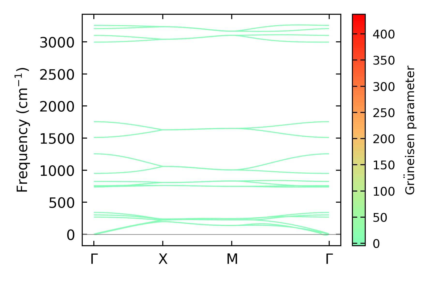
Grüneisen parameters

../../_images/fig_gru_all4405.png

(a) Grüneisen parameters

../../_images/fig_gruneisen4405.png

(b) Phonon dispersion with Grüneisen parameters

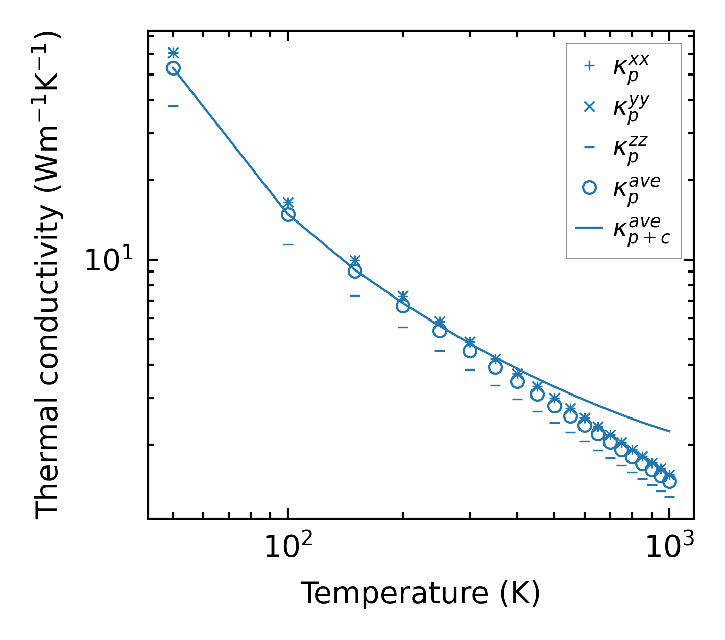
Thermal conductivity

3-phonon (LASSO), supercell 3x3x3 — q-mesh: 21x21x22, supercell: 3x3x3

../../_images/fig_kappa8317.png

(a) Temperature-dependent lattice thermal conductivity

../../_images/fig_kappa_vs_grain_size4458.png

(b) Peierls lattice thermal conductivity w.r.t grain size

Phonon lifetime and scattering rates

../../_images/fig_lifetime4362.png

(a) Phonon lifetime due to phonon-phonon scattering

../../_images/fig_scat_rates4361.png

(b) Phonon scattering rates

Cumulative and spectral thermal conductivity

../../_images/fig_cumu_frequency4362.png

(a) Spectral and cumulative thermal conductivity w.r.t frequency

../../_images/fig_cumu_mfp4361.png

(b) Spectral and cumulative thermal conductivity w.r.t MFP

Force constants

../../_images/fig_fc210527.png

(a) Force constants w.r.t atomic distance

Summary

../../_images/fig_times18505.png

(a) Computation time