mp-32688/Nd2Se3/anharm

Harmonic properties

../../_images/fig_bandos_pr10782.png

(a) Phonon dispersion with participation ratio and DOS

../../_images/fig_thermo10782.png

(b) Thermodynamic properties

Grüneisen parameters

../../_images/fig_gru_all4396.png

(a) Grüneisen parameters

../../_images/fig_gruneisen4396.png

(b) Phonon dispersion with Grüneisen parameters

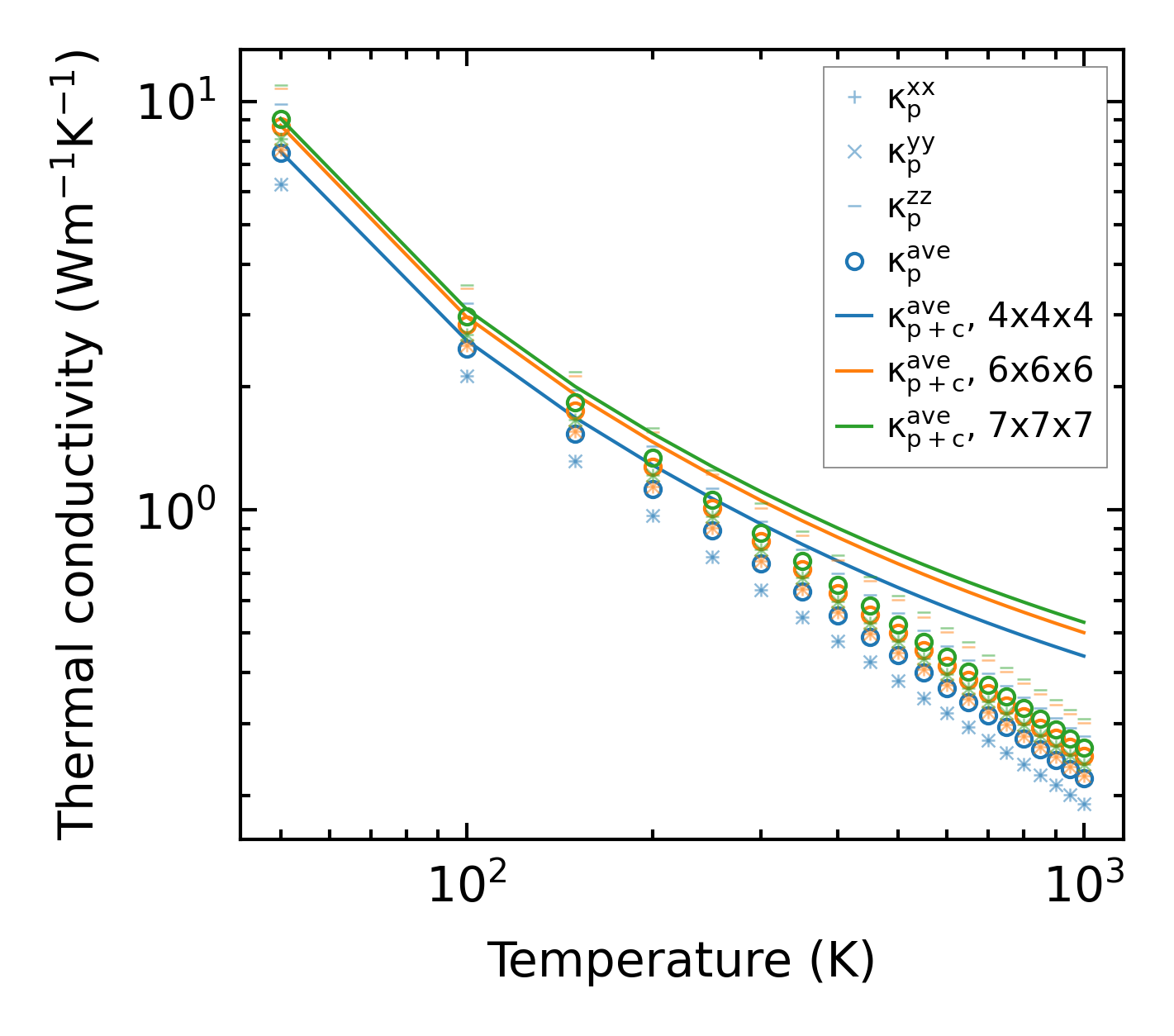
Thermal conductivity

3-phonon (LASSO) — q-mesh: 7x7x7, supercell: 1x1x1

../../_images/fig_kappa8302.png

(a) Temperature-dependent lattice thermal conductivity

../../_images/fig_kappa_vs_grain_size4449.png

(b) Peierls lattice thermal conductivity w.r.t grain size

Phonon lifetime and scattering rates

../../_images/fig_lifetime4353.png

(a) Phonon lifetime due to phonon-phonon scattering

../../_images/fig_scat_rates4352.png

(b) Phonon scattering rates

Cumulative and spectral thermal conductivity

../../_images/fig_cumu_frequency4353.png

(a) Spectral and cumulative thermal conductivity w.r.t frequency

../../_images/fig_cumu_mfp4352.png

(b) Spectral and cumulative thermal conductivity w.r.t MFP

Force constants

../../_images/fig_fc210511.png

(a) Force constants w.r.t atomic distance

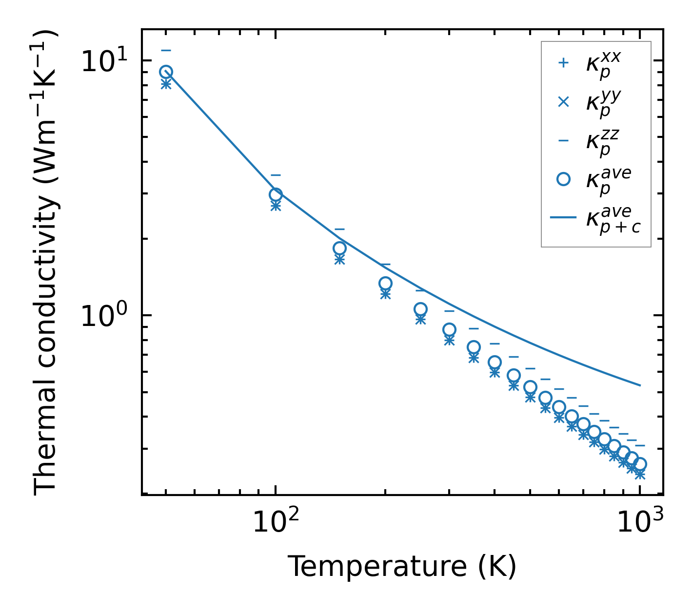
Summary

../../_images/fig_kappa8303.png

(a) Temperature-dependent lattice thermal conductivity

../../_images/fig_times18484.png

(b) Computation time