mp-32586/Nd2S3/anharm

Harmonic properties

../../_images/fig_bandos_pr10774.png

(a) Phonon dispersion with participation ratio and DOS

../../_images/fig_thermo10774.png

(b) Thermodynamic properties

Grüneisen parameters

../../_images/fig_gru_all4390.png

(a) Grüneisen parameters

../../_images/fig_gruneisen4390.png

(b) Phonon dispersion with Grüneisen parameters

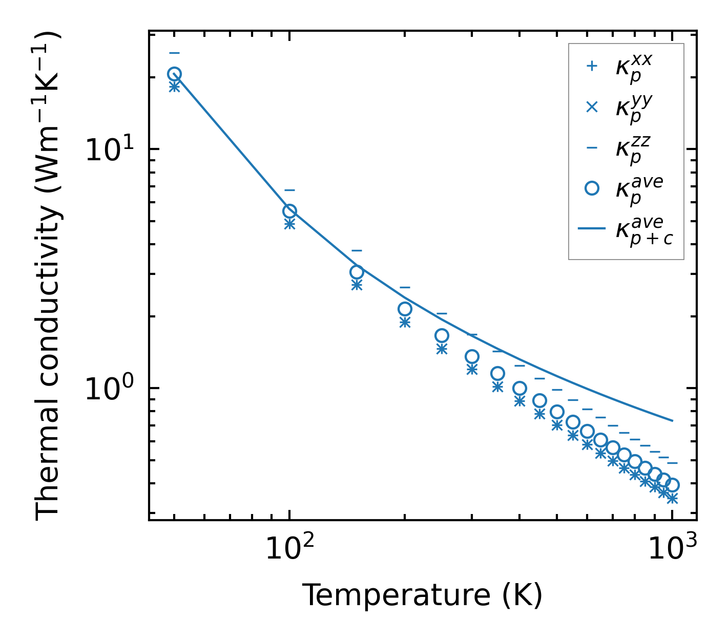
Thermal conductivity

3-phonon (LASSO) — q-mesh: 7x7x7, supercell: 1x1x1

../../_images/fig_kappa8290.png

(a) Temperature-dependent lattice thermal conductivity

../../_images/fig_kappa_vs_grain_size4443.png

(b) Peierls lattice thermal conductivity w.r.t grain size

Phonon lifetime and scattering rates

../../_images/fig_lifetime4347.png

(a) Phonon lifetime due to phonon-phonon scattering

../../_images/fig_scat_rates4346.png

(b) Phonon scattering rates

Cumulative and spectral thermal conductivity

../../_images/fig_cumu_frequency4347.png

(a) Spectral and cumulative thermal conductivity w.r.t frequency

../../_images/fig_cumu_mfp4346.png

(b) Spectral and cumulative thermal conductivity w.r.t MFP

Force constants

../../_images/fig_fc210503.png

(a) Force constants w.r.t atomic distance

Summary

../../_images/fig_kappa8291.png

(a) Temperature-dependent lattice thermal conductivity

../../_images/fig_times18473.png

(b) Computation time