mp-32645/Sm2S3/anharm

Harmonic properties

../../_images/fig_bandos_pr10777.png

(a) Phonon dispersion with participation ratio and DOS

../../_images/fig_thermo10777.png

(b) Thermodynamic properties

Grüneisen parameters

../../_images/fig_gru_all4392.png

(a) Grüneisen parameters

../../_images/fig_gruneisen4392.png

(b) Phonon dispersion with Grüneisen parameters

Thermal conductivity

3-phonon (LASSO) — q-mesh: 7x7x7, supercell: 1x1x1

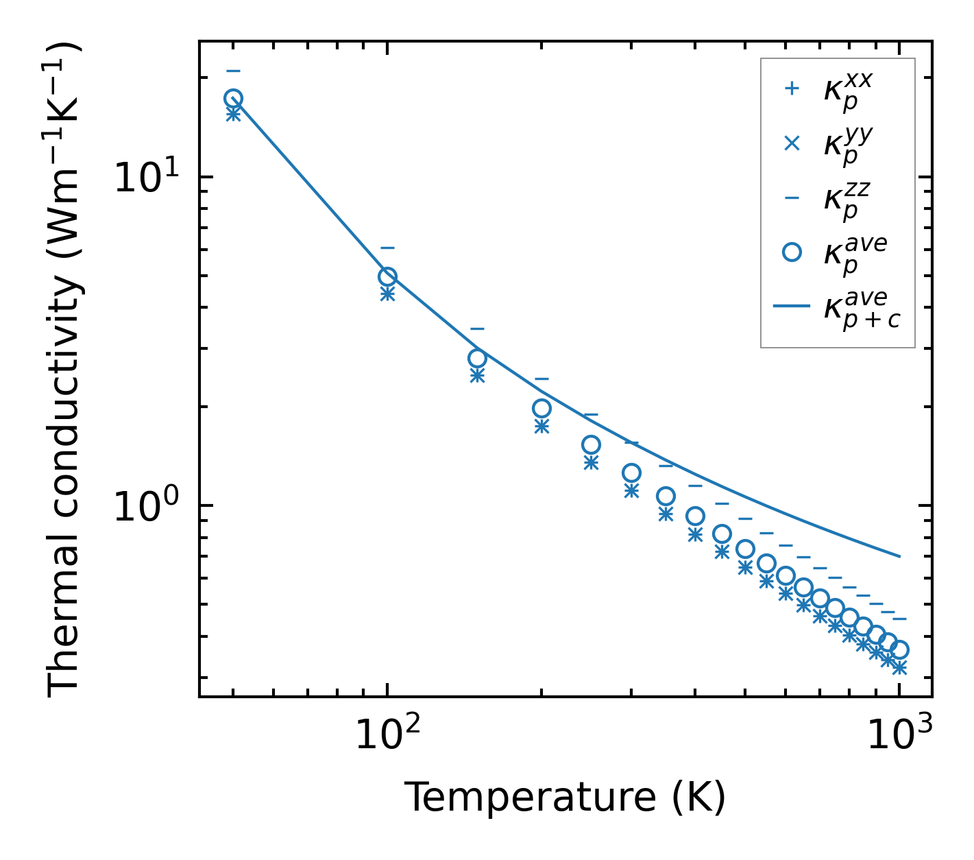
../../_images/fig_kappa8294.png

(a) Temperature-dependent lattice thermal conductivity

../../_images/fig_kappa_vs_grain_size4445.png

(b) Peierls lattice thermal conductivity w.r.t grain size

Phonon lifetime and scattering rates

../../_images/fig_lifetime4349.png

(a) Phonon lifetime due to phonon-phonon scattering

../../_images/fig_scat_rates4348.png

(b) Phonon scattering rates

Cumulative and spectral thermal conductivity

../../_images/fig_cumu_frequency4349.png

(a) Spectral and cumulative thermal conductivity w.r.t frequency

../../_images/fig_cumu_mfp4348.png

(b) Spectral and cumulative thermal conductivity w.r.t MFP

Force constants

../../_images/fig_fc210506.png

(a) Force constants w.r.t atomic distance

Summary

../../_images/fig_kappa8295.png

(a) Temperature-dependent lattice thermal conductivity

../../_images/fig_times18479.png

(b) Computation time