mp-1228951/Al2CO/anharm

Harmonic properties

../../_images/fig_bandos_pr15152.png

(a) Phonon dispersion with participation ratio and DOS

../../_images/fig_thermo15151.png

(b) Thermodynamic properties

Grüneisen parameters

../../_images/fig_gru_all6505.png

(a) Grüneisen parameters

../../_images/fig_gruneisen6505.png

(b) Phonon dispersion with Grüneisen parameters

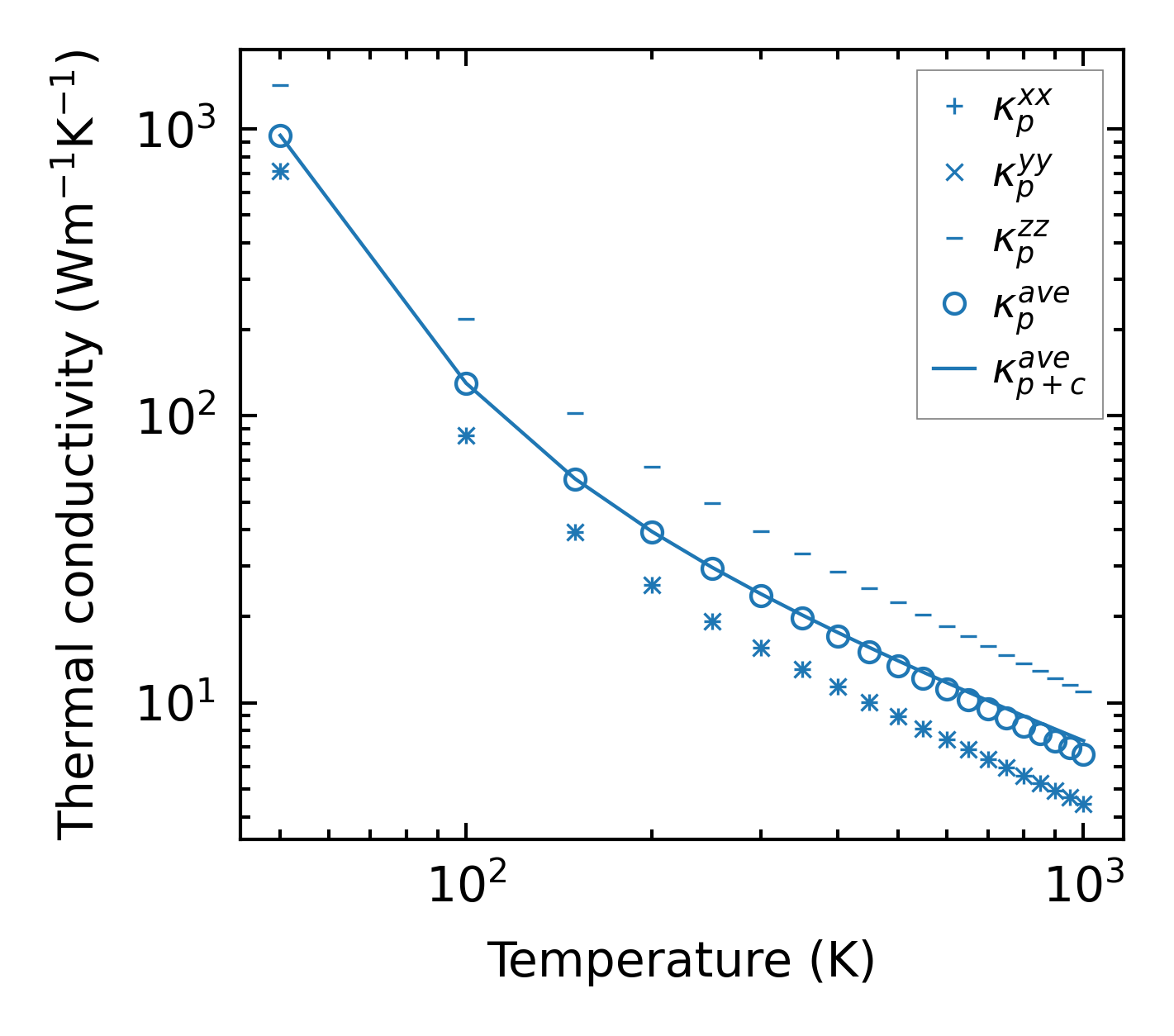
Thermal conductivity

3-phonon (LASSO) — q-mesh: 21x21x18, supercell: 3x3x3

../../_images/fig_kappa12240.png

(a) Temperature-dependent lattice thermal conductivity

../../_images/fig_kappa_vs_grain_size6582.png

(b) Peierls lattice thermal conductivity w.r.t grain size

Phonon lifetime and scattering rates

../../_images/fig_lifetime6439.png

(a) Phonon lifetime due to phonon-phonon scattering

../../_images/fig_scat_rates6438.png

(b) Phonon scattering rates

Cumulative and spectral thermal conductivity

../../_images/fig_cumu_frequency6439.png

(a) Spectral and cumulative thermal conductivity w.r.t frequency

../../_images/fig_cumu_mfp6438.png

(b) Spectral and cumulative thermal conductivity w.r.t MFP

Force constants

../../_images/fig_fc214767.png

(a) Force constants w.r.t atomic distance

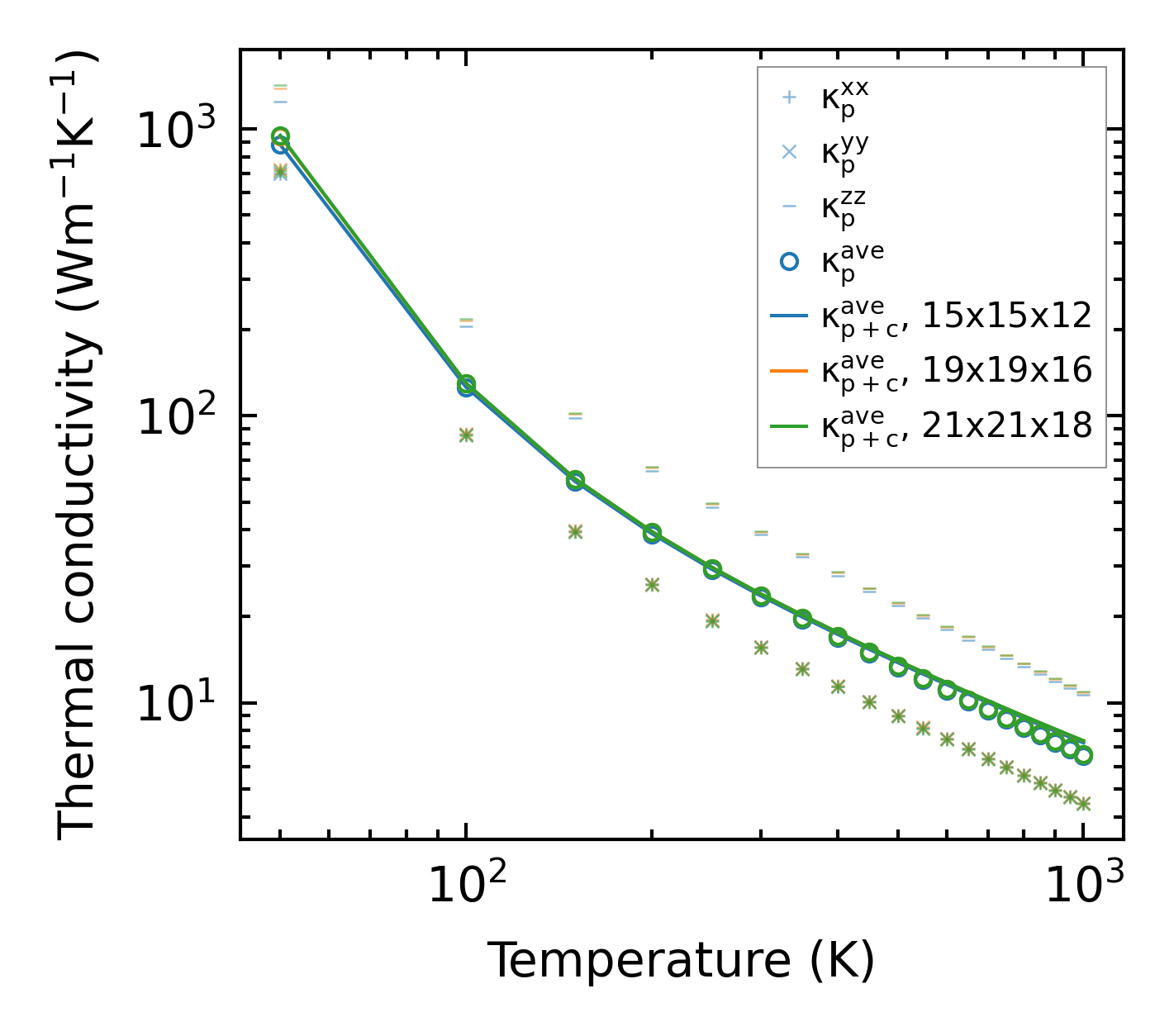
Summary

../../_images/fig_kappa12241.png

(a) Temperature-dependent lattice thermal conductivity

../../_images/fig_times25085.png

(b) Computation time