mp-1228367/Ba2IBrF2/anharm

Harmonic properties

../../_images/fig_bandos_pr15142.png

(a) Phonon dispersion with participation ratio and DOS

../../_images/fig_thermo15141.png

(b) Thermodynamic properties

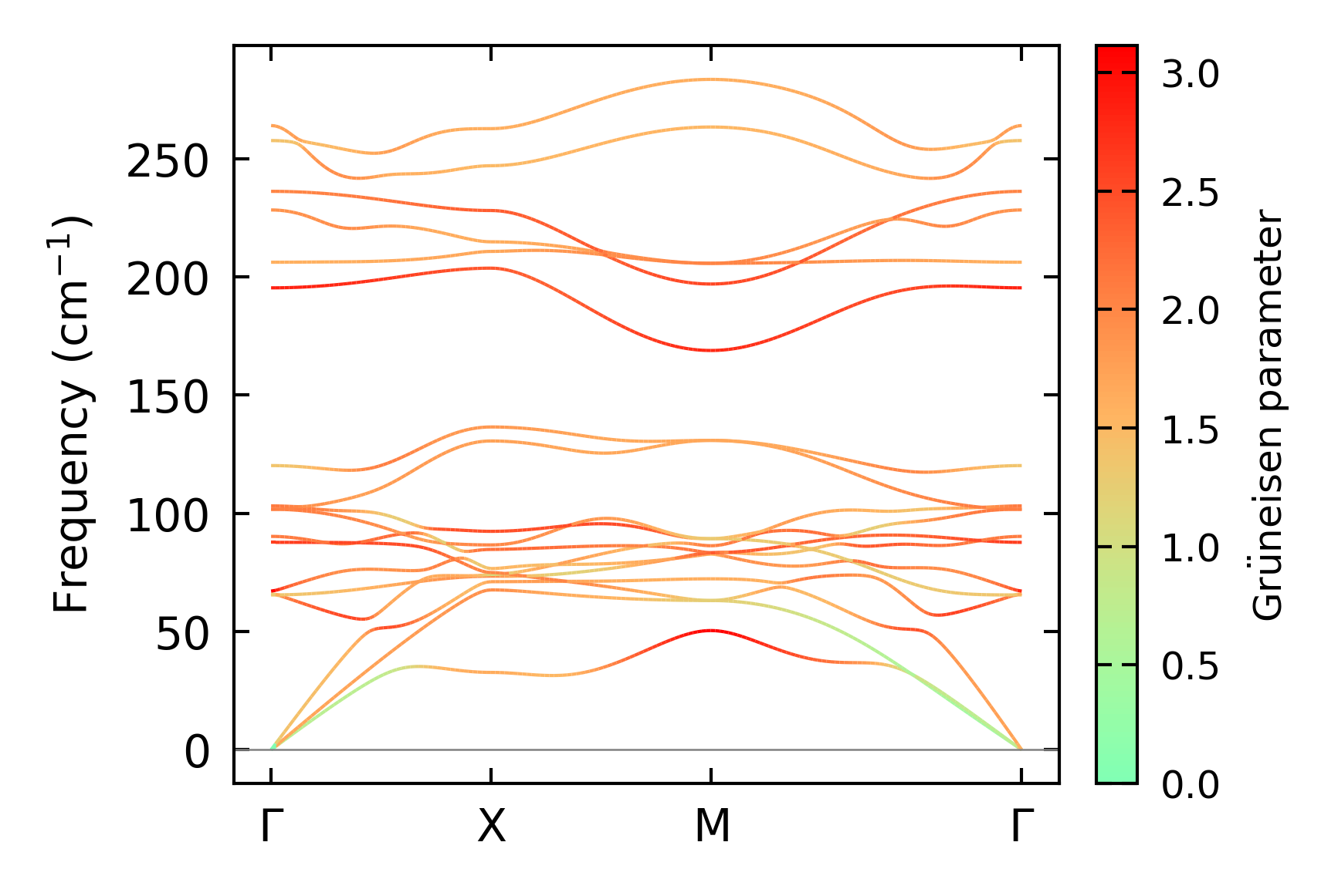
Grüneisen parameters

../../_images/fig_gru_all6500.png

(a) Grüneisen parameters

../../_images/fig_gruneisen6500.png

(b) Phonon dispersion with Grüneisen parameters

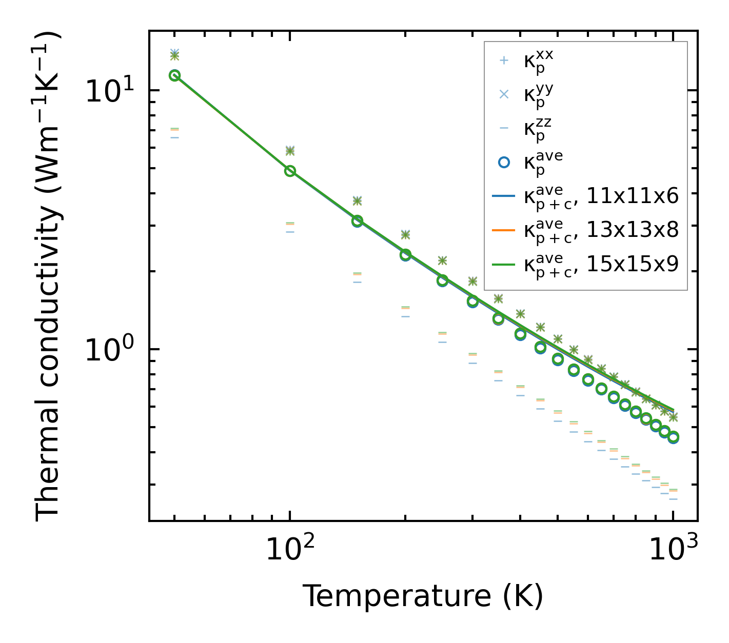
Thermal conductivity

3-phonon (LASSO) — q-mesh: 15x15x9, supercell: 3x3x2

../../_images/fig_kappa12230.png

(a) Temperature-dependent lattice thermal conductivity

../../_images/fig_kappa_vs_grain_size6577.png

(b) Peierls lattice thermal conductivity w.r.t grain size

Phonon lifetime and scattering rates

../../_images/fig_lifetime6434.png

(a) Phonon lifetime due to phonon-phonon scattering

../../_images/fig_scat_rates6433.png

(b) Phonon scattering rates

Cumulative and spectral thermal conductivity

../../_images/fig_cumu_frequency6434.png

(a) Spectral and cumulative thermal conductivity w.r.t frequency

../../_images/fig_cumu_mfp6433.png

(b) Spectral and cumulative thermal conductivity w.r.t MFP

Force constants

../../_images/fig_fc214757.png

(a) Force constants w.r.t atomic distance

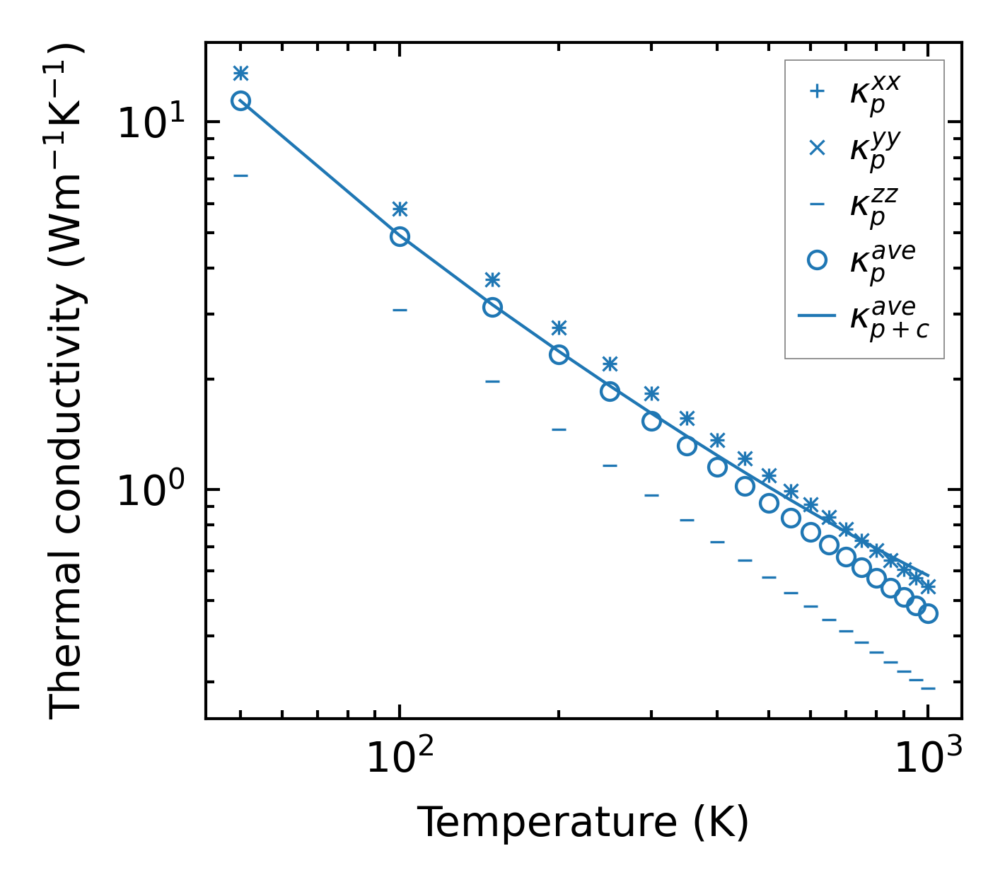
Summary

../../_images/fig_kappa12231.png

(a) Temperature-dependent lattice thermal conductivity

../../_images/fig_times25058.png

(b) Computation time