mp-1228809/AlReSi/anharm

Harmonic properties

../../_images/fig_bandos_pr15146.png

(a) Phonon dispersion with participation ratio and DOS

../../_images/fig_thermo15145.png

(b) Thermodynamic properties

Grüneisen parameters

../../_images/fig_gru_all6502.png

(a) Grüneisen parameters

../../_images/fig_gruneisen6502.png

(b) Phonon dispersion with Grüneisen parameters

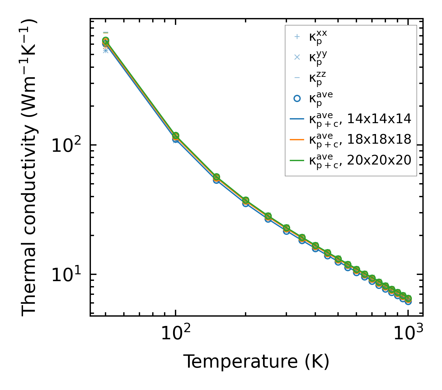
Thermal conductivity

3-phonon (LASSO) — q-mesh: 20x20x20, supercell: 3x3x2

../../_images/fig_kappa12234.png

(a) Temperature-dependent lattice thermal conductivity

../../_images/fig_kappa_vs_grain_size6579.png

(b) Peierls lattice thermal conductivity w.r.t grain size

Phonon lifetime and scattering rates

../../_images/fig_lifetime6436.png

(a) Phonon lifetime due to phonon-phonon scattering

../../_images/fig_scat_rates6435.png

(b) Phonon scattering rates

Cumulative and spectral thermal conductivity

../../_images/fig_cumu_frequency6436.png

(a) Spectral and cumulative thermal conductivity w.r.t frequency

../../_images/fig_cumu_mfp6435.png

(b) Spectral and cumulative thermal conductivity w.r.t MFP

Force constants

../../_images/fig_fc214761.png

(a) Force constants w.r.t atomic distance

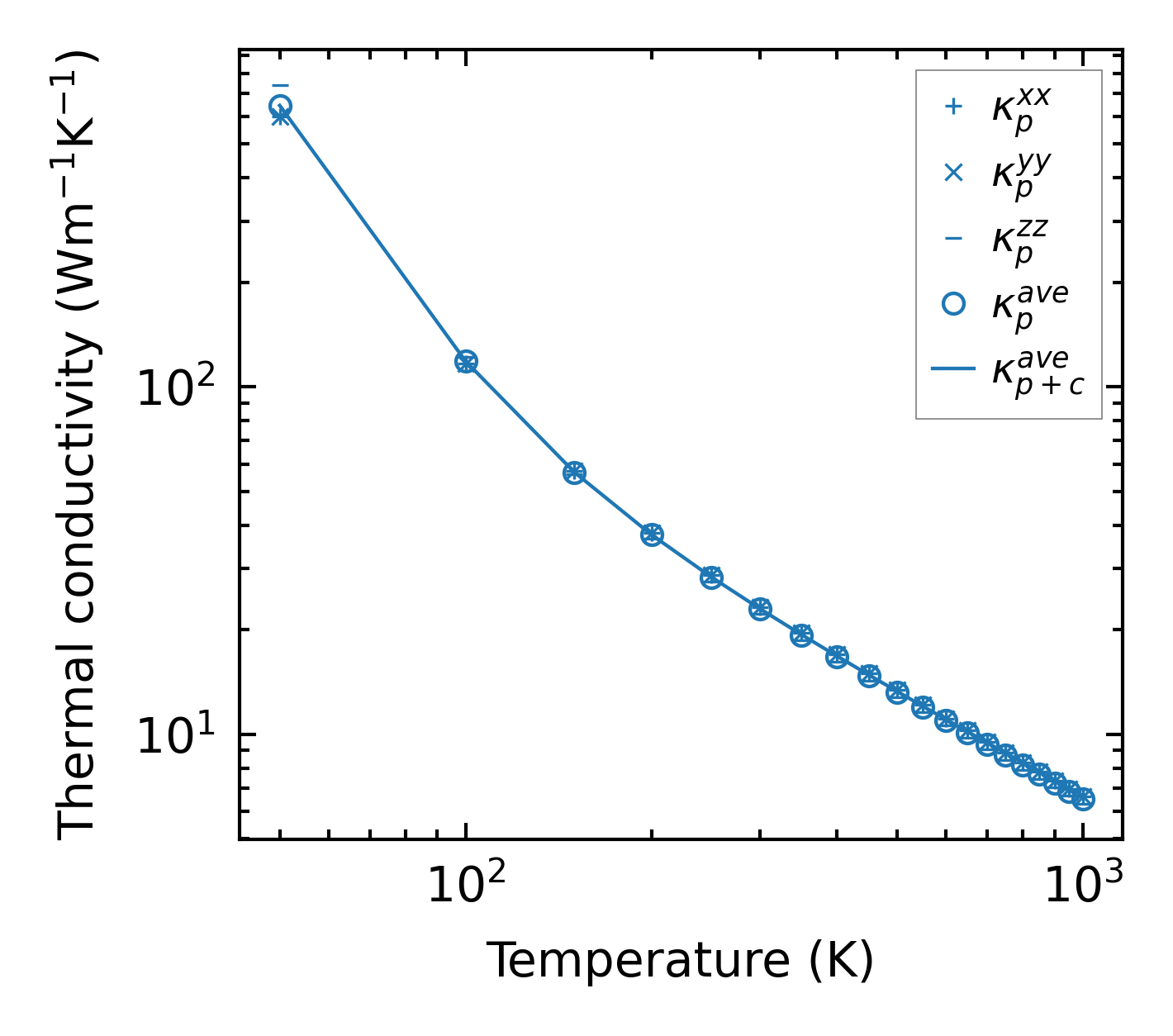
Summary

../../_images/fig_kappa12235.png

(a) Temperature-dependent lattice thermal conductivity

../../_images/fig_times25071.png

(b) Computation time