mp-1228926/AlInAg2Se4/harm

Harmonic properties

../../_images/fig_bandos_pr15149.png

(a) Phonon dispersion with participation ratio and DOS

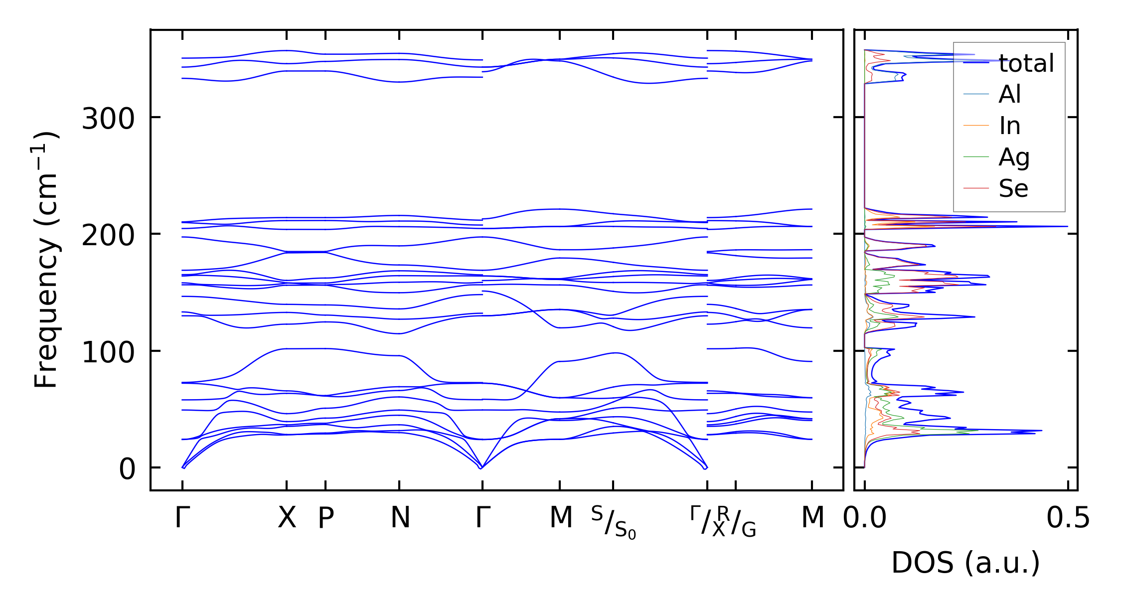
../../_images/fig_bandos19536.png

(b) Phonon dispersion and DOS

../../_images/fig_thermo15148.png

(c) Thermodynamic properties

Force constants

../../_images/fig_fc214764.png

(a) Force constants w.r.t atomic distance

Summary

../../_images/fig_times25081.png

(a) Computation time