mp-1228030/Ba4Bi2O/anharm

Harmonic properties

../../_images/fig_bandos_pr15137.png

(a) Phonon dispersion with participation ratio and DOS

../../_images/fig_thermo15136.png

(b) Thermodynamic properties

Grüneisen parameters

../../_images/fig_gru_all6496.png

(a) Grüneisen parameters

../../_images/fig_gruneisen6496.png

(b) Phonon dispersion with Grüneisen parameters

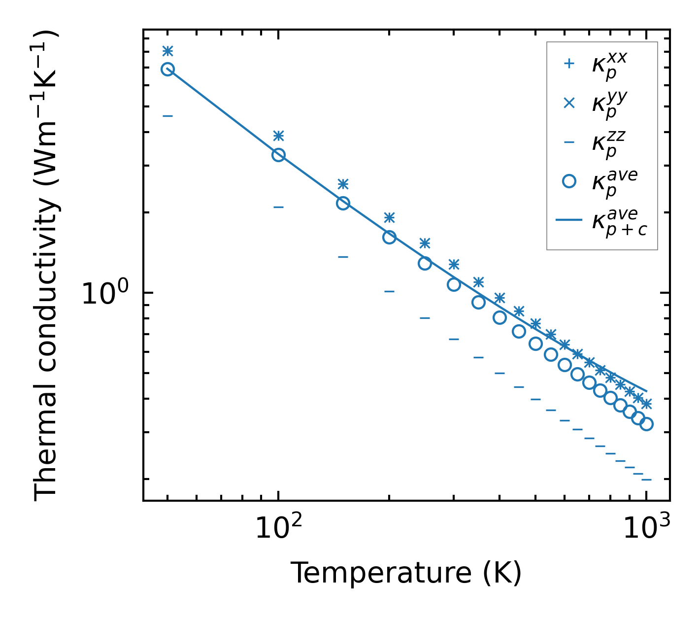
Thermal conductivity

3-phonon (LASSO) — q-mesh: 11x11x11, supercell: 3x3x1

../../_images/fig_kappa12222.png

(a) Temperature-dependent lattice thermal conductivity

../../_images/fig_kappa_vs_grain_size6573.png

(b) Peierls lattice thermal conductivity w.r.t grain size

Phonon lifetime and scattering rates

../../_images/fig_lifetime6430.png

(a) Phonon lifetime due to phonon-phonon scattering

../../_images/fig_scat_rates6429.png

(b) Phonon scattering rates

Cumulative and spectral thermal conductivity

../../_images/fig_cumu_frequency6430.png

(a) Spectral and cumulative thermal conductivity w.r.t frequency

../../_images/fig_cumu_mfp6429.png

(b) Spectral and cumulative thermal conductivity w.r.t MFP

Force constants

../../_images/fig_fc214752.png

(a) Force constants w.r.t atomic distance

Summary

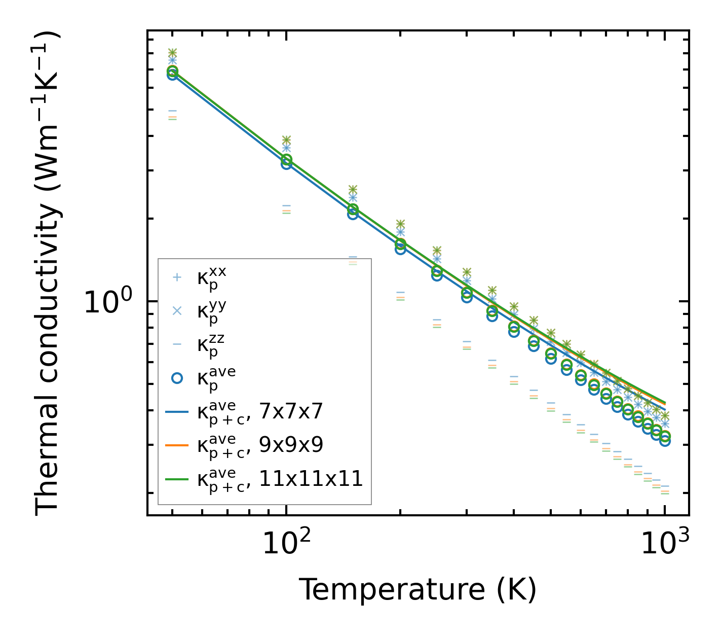
../../_images/fig_kappa12223.png

(a) Temperature-dependent lattice thermal conductivity

../../_images/fig_times25051.png

(b) Computation time