mp-1047866/BaMgCoF7/anharm

Harmonic properties

../../_images/fig_bandos_pr17099.png

(a) Phonon dispersion with participation ratio and DOS

../../_images/fig_thermo17098.png

(b) Thermodynamic properties

Grüneisen parameters

../../_images/fig_gru_all7469.png

(a) Grüneisen parameters

../../_images/fig_gruneisen7469.png

(b) Phonon dispersion with Grüneisen parameters

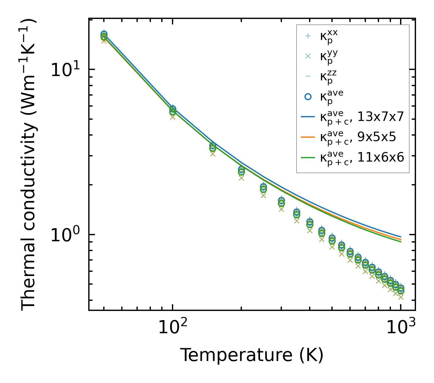
Thermal conductivity

3-phonon (LASSO) — q-mesh: 13x7x7, supercell: 2x1x1

../../_images/fig_kappa14088.png

(a) Temperature-dependent lattice thermal conductivity

../../_images/fig_kappa_vs_grain_size7557.png

(b) Peierls lattice thermal conductivity w.r.t grain size

Phonon lifetime and scattering rates

../../_images/fig_lifetime7402.png

(a) Phonon lifetime due to phonon-phonon scattering

../../_images/fig_scat_rates7401.png

(b) Phonon scattering rates

Cumulative and spectral thermal conductivity

../../_images/fig_cumu_frequency7402.png

(a) Spectral and cumulative thermal conductivity w.r.t frequency

../../_images/fig_cumu_mfp7401.png

(b) Spectral and cumulative thermal conductivity w.r.t MFP

Force constants

../../_images/fig_fc216651.png

(a) Force constants w.r.t atomic distance

Summary

../../_images/fig_kappa14089.png

(a) Temperature-dependent lattice thermal conductivity

../../_images/fig_times27887.png

(b) Computation time