mp-1047145/MgCu2O4/anharm

Harmonic properties

../../_images/fig_bandos_pr17079.png

(a) Phonon dispersion with participation ratio and DOS

../../_images/fig_thermo17078.png

(b) Thermodynamic properties

Grüneisen parameters

../../_images/fig_gru_all7462.png

(a) Grüneisen parameters

../../_images/fig_gruneisen7462.png

(b) Phonon dispersion with Grüneisen parameters

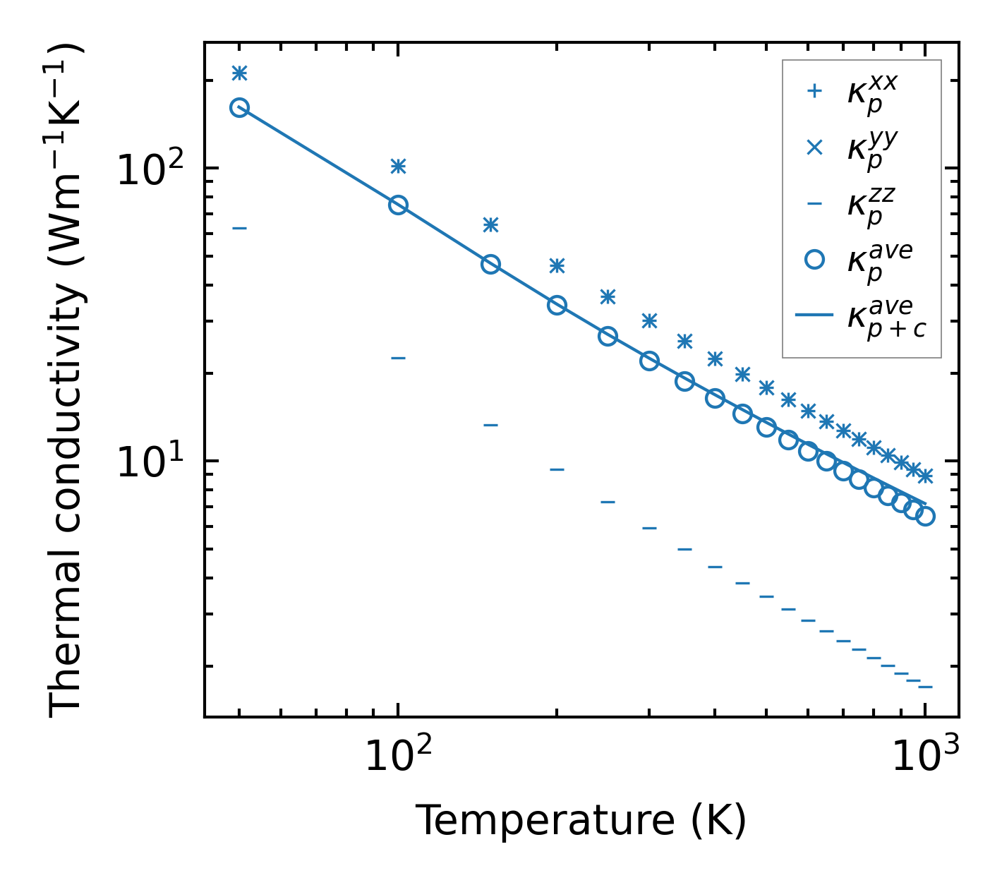
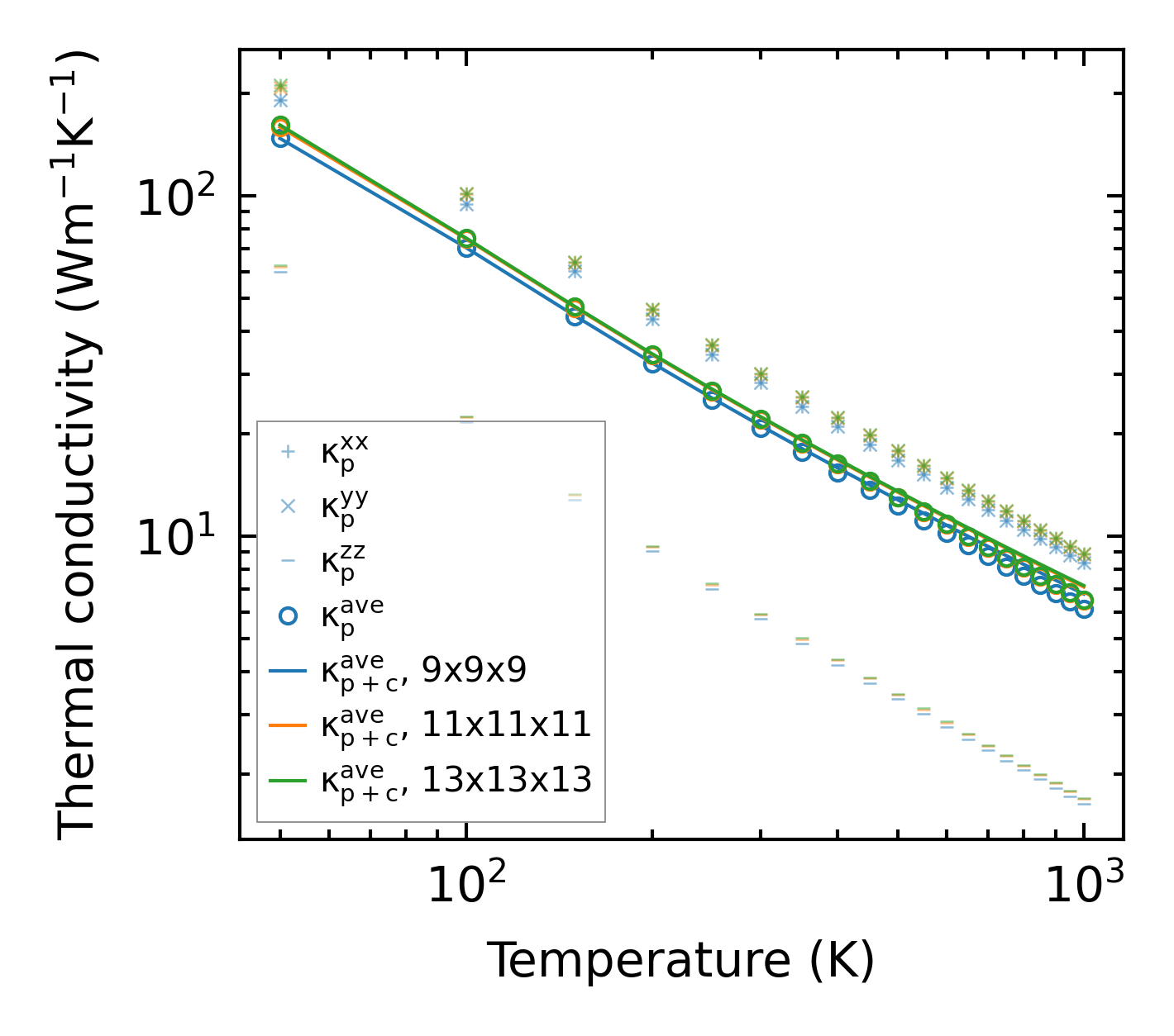
Thermal conductivity

3-phonon (LASSO) — q-mesh: 13x13x13, supercell: 2x2x1

../../_images/fig_kappa14074.png

(a) Temperature-dependent lattice thermal conductivity

../../_images/fig_kappa_vs_grain_size7550.png

(b) Peierls lattice thermal conductivity w.r.t grain size

Phonon lifetime and scattering rates

../../_images/fig_lifetime7395.png

(a) Phonon lifetime due to phonon-phonon scattering

../../_images/fig_scat_rates7394.png

(b) Phonon scattering rates

Cumulative and spectral thermal conductivity

../../_images/fig_cumu_frequency7395.png

(a) Spectral and cumulative thermal conductivity w.r.t frequency

../../_images/fig_cumu_mfp7394.png

(b) Spectral and cumulative thermal conductivity w.r.t MFP

Force constants

../../_images/fig_fc216631.png

(a) Force constants w.r.t atomic distance

Summary

../../_images/fig_kappa14075.png

(a) Temperature-dependent lattice thermal conductivity

../../_images/fig_times27847.png

(b) Computation time